Coastal Update: Week 10
January 12, 2026The Coastal enters Week 10 with teams showing diverse trending patterns. This analysis examines each team’s performance trends using MACD (Moving Average Convergence Divergence) indicators to identify not just where teams stand, but where they’re headed.

Figure 1: Efficiency margin trends for Colonial teams throughout the season. Teams trending upward show improving performance, while downward trends indicate struggles.
Conference Snapshot
- Week Dates: January 05 – January 11, 2026
- Trending Up (Efficiency): Charleston, Drexel, Elon, Northeastern, NC A&T
- Trending Down (Efficiency): Hofstra, Towson, UNC Wilmington, William & Mary, Hampton
Team-by-Team Analysis
Campbell
Record: 8-9 | Elo: 1473.7 (ranked 230 of 365) | Efficiency Margin: -6.83 (ranked 217 of 365)
Offensive Trends:
- FT Rate (FTA/FGA (%)): Currently ranked 12 of 365 in D1. Trending up strongly 🟢.
- 3Pt Pct (3 Point FGM/FGA (%)): Currently ranked 331 of 365 in D1. Trending up strongly 🟢.
Defensive Trends:
- Opp Shooting (Opp Shooting): Currently ranked 320 of 365 in D1. Trending up strongly 🔴.
- Opp FGM Per Poss (Opp FG Makes Per Possession (%)): Currently ranked 346 of 365 in D1. Trending up strongly 🔴.
Charleston
Record: 11-6 | Elo: 1614.1 (ranked 60 of 365) | Efficiency Margin: -3.04 (ranked 188 of 365)
Offensive Trends:
- Shooting (Shooting): Currently ranked 175 of 365 in D1. Trending up strongly 🟢.
- Off Reb Pct (Offensive Rebounding): Currently ranked 227 of 365 in D1. Trending down strongly 🔴.
Defensive Trends:
- Opp Shooting (Opp Shooting): Currently ranked 145 of 365 in D1. Trending down strongly 🟢.
- Opp Turnovers (Opp Turnovers): Currently ranked 339 of 365 in D1. Trending down strongly 🟢.
Drexel
Record: 8-10 | Elo: 1483.2 (ranked 216 of 365) | Efficiency Margin: -4.25 (ranked 198 of 365)
Offensive Trends:
- FGM Per Poss (Field Goal Makes Per Possession (%)): Currently ranked 240 of 365 in D1. Trending down strongly 🔴.
- 2Pt Rate (2 Point Attempts/FGA (%)): Currently ranked 239 of 365 in D1. Trending down strongly 🔴.
Defensive Trends:
- Opp Shooting (Opp Shooting): Currently ranked 87 of 365 in D1. Trending down strongly 🟢.
- Opp FGM Per Poss (Opp FG Makes Per Possession (%)): Currently ranked 121 of 365 in D1. Trending down strongly 🟢.
Elon
Record: 11-6 | Elo: 1488.7 (ranked 209 of 365) | Efficiency Margin: +3.46 (ranked 134 of 365)
Offensive Trends:
- Shooting (Shooting): Currently ranked 44 of 365 in D1. Trending up strongly 🟢.
- Turnovers (Turnovers): Currently ranked 77 of 365 in D1. Trending down strongly 🟢.
Defensive Trends:
- Opp Turnovers (Opp Turnovers): Currently ranked 206 of 365 in D1. Trending up strongly 🔴.
- Opp FGA Per Poss (Opp FG Attempts Per Possession (%)): Currently ranked 213 of 365 in D1. Trending down strongly 🟢.
Hampton
Record: 8-10 | Elo: 1442.7 (ranked 258 of 365) | Efficiency Margin: -11.05 (ranked 256 of 365)
Offensive Trends:
- Shooting (Shooting): Currently ranked 343 of 365 in D1. Trending down strongly 🔴.
- 3PM Per Poss (3 Point Makes Per Possession (%)): Currently ranked 334 of 365 in D1. Trending down strongly 🔴.
Defensive Trends:
- Opp FT Rate (Opp FTA/FGA (%)): Currently ranked 351 of 365 in D1. Trending up strongly 🔴.
- Opp FGM Per Poss (Opp FG Makes Per Possession (%)): Currently ranked 99 of 365 in D1. Trending down strongly 🟢.
Hofstra
Record: 13-4 | Elo: 1577.1 (ranked 89 of 365) | Efficiency Margin: +13.69 (ranked 64 of 365)
Offensive Trends:
- Off Reb Pct (Offensive Rebounding): Currently ranked 65 of 365 in D1. Trending up strongly 🟢.
- FT Rate (FTA/FGA (%)): Currently ranked 210 of 365 in D1. Trending up strongly 🟢.
Defensive Trends:
- Opp Turnovers (Opp Turnovers): Currently ranked 250 of 365 in D1. Trending down strongly 🟢.
- Opp Shooting (Opp Shooting): Currently ranked 38 of 365 in D1. Trending down moderately 🟢.
Monmouth
Record: 8-9 | Elo: 1481.3 (ranked 220 of 365) | Efficiency Margin: +1.65 (ranked 148 of 365)
Offensive Trends:
- Off Reb Pct (Offensive Rebounding): Currently ranked 192 of 365 in D1. Trending down strongly 🔴.
- FT Rate (FTA/FGA (%)): Currently ranked 153 of 365 in D1. Trending down moderately 🔴.
Defensive Trends:
- Opp Shooting (Opp Shooting): Currently ranked 94 of 365 in D1. Trending down strongly 🟢.
- Opp Turnovers (Opp Turnovers): Currently ranked 81 of 365 in D1. Trending up strongly 🔴.
NC A&T
Record: 6-8 | Elo: 1362.0 (ranked 340 of 365) | Efficiency Margin: -9.03 (ranked 237 of 365)
Offensive Trends:
- Off Reb Pct (Offensive Rebounding): Currently ranked 93 of 365 in D1. Trending up strongly 🟢.
- Adj Off Eff (Adjusted Offensive Efficiency): Currently ranked 233 of 365 in D1. Trending up strongly 🟢.
Defensive Trends:
- Def Reb Pct (Defensive Rebounding): Currently ranked 58 of 365 in D1. Trending up strongly 🟢.
- Opp 3Pt Pct (Opp 3 Point FGM/FGA (%)): Currently ranked 322 of 365 in D1. Trending up strongly 🔴.
Northeastern
Record: 5-11 | Elo: 1454.7 (ranked 247 of 365) | Efficiency Margin: -7.29 (ranked 222 of 365)
Offensive Trends:
- Shooting (Shooting): Currently ranked 93 of 365 in D1. Trending up strongly 🟢.
- Turnovers (Turnovers): Currently ranked 180 of 365 in D1. Trending down strongly 🟢.
Defensive Trends:
- Opp Shooting (Opp Shooting): Currently ranked 302 of 365 in D1. Trending up strongly 🔴.
- Def Reb Pct (Defensive Rebounding): Currently ranked 315 of 365 in D1. Trending down strongly 🔴.
Stony Brook
Record: 9-9 | Elo: 1418.9 (ranked 288 of 365) | Efficiency Margin: -14.55 (ranked 279 of 365)
Offensive Trends:
- Shooting (Shooting): Currently ranked 284 of 365 in D1. Trending down strongly 🔴.
- Off Reb Pct (Offensive Rebounding): Currently ranked 298 of 365 in D1. Trending down strongly 🔴.
Defensive Trends:
- Opp 2Pt Pct (Opp 2 Point FGM/FGA (%)): Currently ranked 134 of 365 in D1. Trending down strongly 🟢.
- Opp Assists per FGM (Opp Assists/FGM (%)): Currently ranked 208 of 365 in D1. Trending up strongly 🔴.
Towson
Record: 9-9 | Elo: 1552.4 (ranked 114 of 365) | Efficiency Margin: -6.04 (ranked 214 of 365)
Offensive Trends:
- Turnovers (Turnovers): Currently ranked 198 of 365 in D1. Trending up strongly 🔴.
- Off Reb Pct (Offensive Rebounding): Currently ranked 20 of 365 in D1. Trending up strongly 🟢.
Defensive Trends:
- Opp FT Rate (Opp FTA/FGA (%)): Currently ranked 83 of 365 in D1. Trending up strongly 🔴.
- Opp FTM Per Poss (Opp Free Throw Makes Per Possession (%)): Currently ranked 88 of 365 in D1. Trending up strongly 🔴.
UNC Wilmington
Record: 16-2 | Elo: 1662.7 (ranked 28 of 365) | Efficiency Margin: +9.98 (ranked 90 of 365)
Offensive Trends:
- FGM Per Poss (Field Goal Makes Per Possession (%)): Currently ranked 143 of 365 in D1. Trending down strongly 🔴.
- FG Pct (Field Goal Percentage (FGM/FGA)): Currently ranked 206 of 365 in D1. Trending down strongly 🔴.
Defensive Trends:
- Opp Turnovers (Opp Turnovers): Currently ranked 307 of 365 in D1. Trending down strongly 🟢.
- Def Reb Pct (Defensive Rebounding): Currently ranked 29 of 365 in D1. Trending up strongly 🟢.
William & Mary
Record: 11-6 | Elo: 1510.1 (ranked 168 of 365) | Efficiency Margin: +4.90 (ranked 119 of 365)
Offensive Trends:
- Shooting (Shooting): Currently ranked 89 of 365 in D1. Trending down strongly 🔴.
- Off Reb Pct (Offensive Rebounding): Currently ranked 300 of 365 in D1. Trending down strongly 🔴.
Defensive Trends:
- Opp Turnovers (Opp Turnovers): Currently ranked 34 of 365 in D1. Trending up strongly 🔴.
- Opp FT Rate (Opp FTA/FGA (%)): Currently ranked 147 of 365 in D1. Trending down strongly 🟢.

Figure 2: Offensive Four Factors comparison across Colonial teams. The radar chart shows each team’s shooting efficiency (eFG%), ball security (TOV%), offensive rebounding (OREB%), and free throw generation (FT Rate).

Figure 3: Defensive Four Factors comparison across Colonial teams. The radar chart shows each team’s opponent shooting defense (Opp eFG%), ball disruption (forcing TOV%), defensive rebounding (DREB%), and opponent free throw prevention (Opp FT Rate).

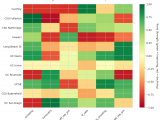
Figure 4: MACD trends heatmap showing which metrics are improving (green) or declining (red) for each team. Stronger colors indicate more pronounced trends.
Looking Ahead
As Colonial teams continue their season, the MACD trending indicators will help identify which teams are genuinely improving versus those riding unsustainable momentum. Check back next week for updated analysis.
Metrics Glossary
Four Factors (Dean Oliver’s framework for basketball success):
- eFG% (Effective Field Goal %): Field goal percentage adjusted for 3-pointers being worth more (FGM + 0.5×3PM) / FGA. Higher is better offensively, lower is better defensively.
- TOV% (Turnover Rate): Turnovers per 100 possessions. Lower is better offensively (taking care of the ball), higher is better defensively (forcing turnovers).
- OREB% / DREB% (Offensive/Defensive Rebound Rate): Percentage of available rebounds grabbed. Offensive rebounds create second-chance points; defensive rebounds end opponent possessions.
- FTR (Free Throw Rate): Free throws made per field goal attempt (FTM/FGA). Measures ability to get to the line AND convert. Higher is better offensively, lower is better defensively.
Other Metrics:
- Elo Rating: Chess-style rating system that updates based on game results and opponent strength. Higher Elo indicates stronger team.
- Efficiency Margin: Point differential per 100 possessions (Offensive Efficiency – Defensive Efficiency). Accounts for pace of play.
- MACD (Moving Average Convergence Divergence): Trend indicator comparing 12-game and 26-game exponential moving averages. Positive MACD = improving trend, Negative MACD = declining trend.
Analysis powered by HoopSci’s advanced metrics and MACD trending indicators.

