Conference USA Update: Week 10
January 12, 2026The Conference USA enters Week 10 with teams showing diverse trending patterns. This analysis examines each team’s performance trends using MACD (Moving Average Convergence Divergence) indicators to identify not just where teams stand, but where they’re headed.

Figure 1: Efficiency margin trends for Conference USA teams throughout the season. Teams trending upward show improving performance, while downward trends indicate struggles.
Conference Snapshot
- Week Dates: January 05 – January 11, 2026
- Trending Up (Efficiency): FIU, Mid Tennessee, Jacksonville St, New Mexico St, Missouri State
- Trending Down (Efficiency): LA Tech, UTEP, W Kentucky, Liberty, Sam Houston
Team-by-Team Analysis
Delaware
Record: 5-10 | Elo: 1441.3 (ranked 264 of 365) | Efficiency Margin: -7.99 (ranked 231 of 365)
Offensive Trends:
- Adj Off Eff (Adjusted Offensive Efficiency): Currently ranked 261 of 365 in D1. Trending down strongly 🔴.
- FGM Per Poss (Field Goal Makes Per Possession (%)): Currently ranked 262 of 365 in D1. Trending down strongly 🔴.
Defensive Trends:
- Opp Shooting (Opp Shooting): Currently ranked 82 of 365 in D1. Trending down strongly 🟢.
- Opp FGM Per Poss (Opp FG Makes Per Possession (%)): Currently ranked 140 of 365 in D1. Trending down strongly 🟢.
FIU
Record: 9-7 | Elo: 1420.1 (ranked 285 of 365) | Efficiency Margin: -1.70 (ranked 174 of 365)
Offensive Trends:
- Shooting (Shooting): Currently ranked 154 of 365 in D1. Trending up strongly 🟢.
- Adj Off Eff (Adjusted Offensive Efficiency): Currently ranked 147 of 365 in D1. Trending up strongly 🟢.
Defensive Trends:
- Opp 2Pt Rate (Opp 2 Point Attempts/FGA (%)): Currently ranked 40 of 365 in D1. Trending down strongly 🟢.
- Opp 2PA Per Poss (Opp 2 Point Attempts Per Possession (%)): Currently ranked 53 of 365 in D1. Trending down strongly 🟢.
Jacksonville St
Record: 8-8 | Elo: 1506.5 (ranked 174 of 365) | Efficiency Margin: -9.76 (ranked 245 of 365)
Offensive Trends:
- Shooting (Shooting): Currently ranked 224 of 365 in D1. Trending up strongly 🟢.
- Off Reb Pct (Offensive Rebounding): Currently ranked 196 of 365 in D1. Trending down strongly 🔴.
Defensive Trends:
- Opp FT Rate (Opp FTA/FGA (%)): Currently ranked 266 of 365 in D1. Trending up strongly 🔴.
- Opp FGA Per Poss (Opp FG Attempts Per Possession (%)): Currently ranked 156 of 365 in D1. Trending down strongly 🟢.
Kennesaw State
Record: 10-6 | Elo: 1517.5 (ranked 157 of 365) | Efficiency Margin: -2.13 (ranked 179 of 365)
Offensive Trends:
- FT Pct (FTM/FTA (%)): Currently ranked 181 of 365 in D1. Trending up strongly 🟢.
- Assists per FGM (Assists/FGM (%)): Currently ranked 274 of 365 in D1. Trending up strongly 🟢.
Defensive Trends:
- Opp Shooting (Opp Shooting): Currently ranked 106 of 365 in D1. Trending up moderately 🔴.
- Opp FGM Per Poss (Opp FG Makes Per Possession (%)): Currently ranked 25 of 365 in D1. Trending up moderately 🔴.
LA Tech
Record: 9-7 | Elo: 1524.0 (ranked 150 of 365) | Efficiency Margin: -10.31 (ranked 249 of 365)
Offensive Trends:
- Shooting (Shooting): Currently ranked 348 of 365 in D1. Trending down strongly 🔴.
- Adj Off Eff (Adjusted Offensive Efficiency): Currently ranked 312 of 365 in D1. Trending down strongly 🔴.
Defensive Trends:
- Opp Shooting (Opp Shooting): Currently ranked 80 of 365 in D1. Trending up strongly 🔴.
- Opp 2Pt Rate (Opp 2 Point Attempts/FGA (%)): Currently ranked 5 of 365 in D1. Trending down strongly 🟢.
Liberty
Record: 13-3 | Elo: 1657.5 (ranked 29 of 365) | Efficiency Margin: +8.37 (ranked 102 of 365)
Offensive Trends:
- FT Rate (FTA/FGA (%)): Currently ranked 314 of 365 in D1. Trending up strongly 🟢.
- 2Pt Rate (2 Point Attempts/FGA (%)): Currently ranked 331 of 365 in D1. Trending up strongly 🟢.
Defensive Trends:
- Def Reb Pct (Defensive Rebounding): Currently ranked 309 of 365 in D1. Trending down strongly 🔴.
- Opp FGA Per Poss (Opp FG Attempts Per Possession (%)): Currently ranked 334 of 365 in D1. Trending up strongly 🔴.
Mid Tennessee
Record: 9-6 | Elo: 1562.0 (ranked 103 of 365) | Efficiency Margin: +1.84 (ranked 146 of 365)
Offensive Trends:
- Off Reb Pct (Offensive Rebounding): Currently ranked 259 of 365 in D1. Trending down strongly 🔴.
- 2Pt Rate (2 Point Attempts/FGA (%)): Currently ranked 310 of 365 in D1. Trending down strongly 🔴.
Defensive Trends:
- Opp FT Rate (Opp FTA/FGA (%)): Currently ranked 215 of 365 in D1. Trending up strongly 🔴.
- Opp FGM Per Poss (Opp FG Makes Per Possession (%)): Currently ranked 165 of 365 in D1. Trending down strongly 🟢.
Missouri State
Record: 9-6 | Elo: 1446.3 (ranked 255 of 365) | Efficiency Margin: -7.97 (ranked 229 of 365)
Offensive Trends:
- FT Rate (FTA/FGA (%)): Currently ranked 14 of 365 in D1. Trending up strongly 🟢.
- 2Pt Rate (2 Point Attempts/FGA (%)): Currently ranked 226 of 365 in D1. Trending down strongly 🔴.
Defensive Trends:
- Opp Shooting (Opp Shooting): Currently ranked 137 of 365 in D1. Trending down moderately 🟢.
- Def Reb Pct (Defensive Rebounding): Currently ranked 260 of 365 in D1. Trending down moderately 🔴.
New Mexico St
Record: 9-6 | Elo: 1496.5 (ranked 196 of 365) | Efficiency Margin: +0.52 (ranked 157 of 365)
Offensive Trends:
- Adj Off Eff (Adjusted Offensive Efficiency): Currently ranked 169 of 365 in D1. Trending up strongly 🟢.
- 2PA Per Poss (2 Point Attempts Per Possession (%)): Currently ranked 152 of 365 in D1. Trending down strongly 🔴.
Defensive Trends:
- Opp FT Rate (Opp FTA/FGA (%)): Currently ranked 353 of 365 in D1. Trending up strongly 🔴.
- Opp 2Pt Rate (Opp 2 Point Attempts/FGA (%)): Currently ranked 128 of 365 in D1. Trending up strongly 🔴.
Sam Houston
Record: 9-7 | Elo: 1511.4 (ranked 165 of 365) | Efficiency Margin: +2.40 (ranked 142 of 365)
Offensive Trends:
- FT Rate (FTA/FGA (%)): Currently ranked 279 of 365 in D1. Trending down strongly 🔴.
- Adj Off Eff (Adjusted Offensive Efficiency): Currently ranked 113 of 365 in D1. Trending up strongly 🟢.
Defensive Trends:
- Def Reb Pct (Defensive Rebounding): Currently ranked 111 of 365 in D1. Trending up strongly 🟢.
- Opp 2Pt Pct (Opp 2 Point FGM/FGA (%)): Currently ranked 329 of 365 in D1. Trending up strongly 🔴.
UTEP
Record: 5-11 | Elo: 1431.3 (ranked 275 of 365) | Efficiency Margin: -16.20 (ranked 294 of 365)
Offensive Trends:
- Shooting (Shooting): Currently ranked 333 of 365 in D1. Trending down strongly 🔴.
- FGM Per Poss (Field Goal Makes Per Possession (%)): Currently ranked 297 of 365 in D1. Trending down strongly 🔴.
Defensive Trends:
- Opp Turnovers (Opp Turnovers): Currently ranked 86 of 365 in D1. Trending down strongly 🟢.
- Opp FGA Per Poss (Opp FG Attempts Per Possession (%)): Currently ranked 69 of 365 in D1. Trending up strongly 🔴.
W Kentucky
Record: 10-6 | Elo: 1521.5 (ranked 153 of 365) | Efficiency Margin: +0.51 (ranked 158 of 365)
Offensive Trends:
- Shooting (Shooting): Currently ranked 335 of 365 in D1. Trending down strongly 🔴.
- Off Reb Pct (Offensive Rebounding): Currently ranked 120 of 365 in D1. Trending up strongly 🟢.
Defensive Trends:
- Opp FT Rate (Opp FTA/FGA (%)): Currently ranked 337 of 365 in D1. Trending up strongly 🔴.
- Opp 2Pt Pct (Opp 2 Point FGM/FGA (%)): Currently ranked 94 of 365 in D1. Trending down strongly 🟢.

Figure 2: Offensive Four Factors comparison across Conference USA teams. The radar chart shows each team’s shooting efficiency (eFG%), ball security (TOV%), offensive rebounding (OREB%), and free throw generation (FT Rate).

Figure 3: Defensive Four Factors comparison across Conference USA teams. The radar chart shows each team’s opponent shooting defense (Opp eFG%), ball disruption (forcing TOV%), defensive rebounding (DREB%), and opponent free throw prevention (Opp FT Rate).

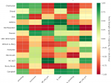
Figure 4: MACD trends heatmap showing which metrics are improving (green) or declining (red) for each team. Stronger colors indicate more pronounced trends.
Looking Ahead
As Conference USA teams continue their season, the MACD trending indicators will help identify which teams are genuinely improving versus those riding unsustainable momentum. Check back next week for updated analysis.
Metrics Glossary
Four Factors (Dean Oliver’s framework for basketball success):
- eFG% (Effective Field Goal %): Field goal percentage adjusted for 3-pointers being worth more (FGM + 0.5×3PM) / FGA. Higher is better offensively, lower is better defensively.
- TOV% (Turnover Rate): Turnovers per 100 possessions. Lower is better offensively (taking care of the ball), higher is better defensively (forcing turnovers).
- OREB% / DREB% (Offensive/Defensive Rebound Rate): Percentage of available rebounds grabbed. Offensive rebounds create second-chance points; defensive rebounds end opponent possessions.
- FTR (Free Throw Rate): Free throws made per field goal attempt (FTM/FGA). Measures ability to get to the line AND convert. Higher is better offensively, lower is better defensively.
Other Metrics:
- Elo Rating: Chess-style rating system that updates based on game results and opponent strength. Higher Elo indicates stronger team.
- Efficiency Margin: Point differential per 100 possessions (Offensive Efficiency – Defensive Efficiency). Accounts for pace of play.
- MACD (Moving Average Convergence Divergence): Trend indicator comparing 12-game and 26-game exponential moving averages. Positive MACD = improving trend, Negative MACD = declining trend.
Analysis powered by HoopSci’s advanced metrics and MACD trending indicators.

