SWAC Update: Week 10

SWAC Update: Week 10

January 12, 2026 0 By Neill White

The SWAC enters Week 10 with teams showing diverse trending patterns. This analysis examines each team’s performance trends using MACD (Moving Average Convergence Divergence) indicators to identify not just where teams stand, but where they’re headed.


Figure 1: Efficiency margin trends for SWAC teams throughout the season. Teams trending upward show improving performance, while downward trends indicate struggles.

Conference Snapshot


Team-by-Team Analysis

AR-Pine Bluff

Record: 4-10 | Elo: 1342.5 (ranked 353 of 365) | Efficiency Margin: -23.96 (ranked 346 of 365)

Offensive Trends:

  • Shooting (Shooting): Currently ranked 283 of 365 in D1. Trending up strongly 🟢.
  • FG Pct (Field Goal Percentage (FGM/FGA)): Currently ranked 307 of 365 in D1. Trending up strongly 🟢.

Defensive Trends:

  • Opp 2Pt Rate (Opp 2 Point Attempts/FGA (%)): Currently ranked 192 of 365 in D1. Trending up strongly 🔴.
  • Opp 2PM Per Poss (Opp 2 Point Makes Per Possession (%)): Currently ranked 299 of 365 in D1. Trending up strongly 🔴.

Alabama A&M

Record: 8-8 | Elo: 1362.4 (ranked 339 of 365) | Efficiency Margin: -20.42 (ranked 326 of 365)

Offensive Trends:

  • Off Reb Pct (Offensive Rebounding): Currently ranked 237 of 365 in D1. Trending up strongly 🟢.
  • Adj Off Eff (Adjusted Offensive Efficiency): Currently ranked 333 of 365 in D1. Trending up strongly 🟢.

Defensive Trends:

  • Opp Turnovers (Opp Turnovers): Currently ranked 186 of 365 in D1. Trending down strongly 🟢.
  • Def Reb Pct (Defensive Rebounding): Currently ranked 124 of 365 in D1. Trending up strongly 🟢.

Alabama State

Record: 4-12 | Elo: 1422.6 (ranked 281 of 365) | Efficiency Margin: -16.55 (ranked 296 of 365)

Offensive Trends:

  • Turnovers (Turnovers): Currently ranked 262 of 365 in D1. Trending up strongly 🔴.
  • Off Reb Pct (Offensive Rebounding): Currently ranked 125 of 365 in D1. Trending up strongly 🟢.

Defensive Trends:

  • Def Reb Pct (Defensive Rebounding): Currently ranked 331 of 365 in D1. Trending down strongly 🔴.
  • Opp FT Rate (Opp FTA/FGA (%)): Currently ranked 296 of 365 in D1. Trending up strongly 🔴.

Alcorn State

Record: 2-12 | Elo: 1420.4 (ranked 284 of 365) | Efficiency Margin: -26.95 (ranked 352 of 365)

Offensive Trends:

  • Off Reb Pct (Offensive Rebounding): Currently ranked 280 of 365 in D1. Trending down strongly 🔴.
  • FG Pct (Field Goal Percentage (FGM/FGA)): Currently ranked 326 of 365 in D1. Trending down strongly 🔴.

Defensive Trends:

  • Opp Shooting (Opp Shooting): Currently ranked 359 of 365 in D1. Trending up strongly 🔴.
  • Def Reb Pct (Defensive Rebounding): Currently ranked 362 of 365 in D1. Trending down strongly 🔴.

Bethune-Cookman

Record: 5-10 | Elo: 1463.9 (ranked 237 of 365) | Efficiency Margin: -14.36 (ranked 276 of 365)

Offensive Trends:

  • Off Reb Pct (Offensive Rebounding): Currently ranked 315 of 365 in D1. Trending down strongly 🔴.
  • Adj Off Eff (Adjusted Offensive Efficiency): Currently ranked 255 of 365 in D1. Trending up strongly 🟢.

Defensive Trends:

  • Opp Shooting (Opp Shooting): Currently ranked 310 of 365 in D1. Trending up strongly 🔴.
  • Opp FG Pct (%) (Opp FGM/FGA (%)): Currently ranked 331 of 365 in D1. Trending up strongly 🔴.

Florida A&M

Record: 2-9 | Elo: 1385.5 (ranked 321 of 365) | Efficiency Margin: -27.80 (ranked 355 of 365)

Offensive Trends:

  • Steals Per Poss (Steals Per Possession): Currently ranked 87 of 365 in D1. Trending up strongly 🟢.
  • Shooting (Shooting): Currently ranked 309 of 365 in D1. Trending down moderately 🔴.

Defensive Trends:

  • Opp Turnovers (Opp Turnovers): Currently ranked 74 of 365 in D1. Trending up strongly 🔴.
  • Opp FGA Per Poss (Opp FG Attempts Per Possession (%)): Currently ranked 61 of 365 in D1. Trending down strongly 🟢.

Grambling

Record: 8-8 | Elo: 1438.8 (ranked 267 of 365) | Efficiency Margin: -11.80 (ranked 259 of 365)

Offensive Trends:

  • Off Reb Pct (Offensive Rebounding): Currently ranked 235 of 365 in D1. Trending up strongly 🟢.
  • FT Rate (FTA/FGA (%)): Currently ranked 8 of 365 in D1. Trending up strongly 🟢.

Defensive Trends:

  • Opp Turnovers (Opp Turnovers): Currently ranked 24 of 365 in D1. Trending up strongly 🔴.
  • Opp FGA Per Poss (Opp FG Attempts Per Possession (%)): Currently ranked 42 of 365 in D1. Trending down strongly 🟢.

Jackson State

Record: 3-12 | Elo: 1453.9 (ranked 248 of 365) | Efficiency Margin: -34.73 (ranked 361 of 365)

Offensive Trends:

  • FGM Per Poss (Field Goal Makes Per Possession (%)): Currently ranked 365 of 365 in D1. Trending down strongly 🔴.
  • FGA Per Poss (Field Goal Attempts Per Possession (%)): Currently ranked 341 of 365 in D1. Trending down strongly 🔴.

Defensive Trends:

  • Def Reb Pct (Defensive Rebounding): Currently ranked 363 of 365 in D1. Trending down strongly 🔴.
  • Opp FGM Per Poss (Opp FG Makes Per Possession (%)): Currently ranked 353 of 365 in D1. Trending up moderately 🔴.

Miss Valley St

Record: 1-16 | Elo: 1194.0 (ranked 370 of 365) | Efficiency Margin: -38.90 (ranked 365 of 365)

Offensive Trends:

  • Adj Off Eff (Adjusted Offensive Efficiency): Currently ranked 363 of 365 in D1. Trending up strongly 🟢.
  • Assists per FGM (Assists/FGM (%)): Currently ranked 164 of 365 in D1. Trending up strongly 🟢.

Defensive Trends:

  • Opp FT Rate (Opp FTA/FGA (%)): Currently ranked 357 of 365 in D1. Trending up strongly 🔴.
  • Opp FGM Per Poss (Opp FG Makes Per Possession (%)): Currently ranked 285 of 365 in D1. Trending down strongly 🟢.

PV A&M

Record: 7-9 | Elo: 1330.1 (ranked 360 of 365) | Efficiency Margin: -18.73 (ranked 314 of 365)

Offensive Trends:

  • FT Rate (FTA/FGA (%)): Currently ranked 49 of 365 in D1. Trending up strongly 🟢.
  • FGA Per Poss (Field Goal Attempts Per Possession (%)): Currently ranked 351 of 365 in D1. Trending down strongly 🔴.

Defensive Trends:

  • Opp FT Rate (Opp FTA/FGA (%)): Currently ranked 364 of 365 in D1. Trending up strongly 🔴.
  • Opp FGM Per Poss (Opp FG Makes Per Possession (%)): Currently ranked 174 of 365 in D1. Trending down strongly 🟢.

Southern

Record: 5-11 | Elo: 1447.5 (ranked 253 of 365) | Efficiency Margin: -19.55 (ranked 320 of 365)

Offensive Trends:

  • Shooting (Shooting): Currently ranked 303 of 365 in D1. Trending down strongly 🔴.
  • Off Reb Pct (Offensive Rebounding): Currently ranked 231 of 365 in D1. Trending down strongly 🔴.

Defensive Trends:

  • Opp Shooting (Opp Shooting): Currently ranked 315 of 365 in D1. Trending up strongly 🔴.
  • Opp FGM Per Poss (Opp FG Makes Per Possession (%)): Currently ranked 268 of 365 in D1. Trending up strongly 🔴.

Texas Southern

Record: 1-12 | Elo: 1379.0 (ranked 322 of 365) | Efficiency Margin: -32.80 (ranked 359 of 365)

Offensive Trends:

  • Off Reb Pct (Offensive Rebounding): Currently ranked 341 of 365 in D1. Trending down strongly 🔴.
  • FGM Per Poss (Field Goal Makes Per Possession (%)): Currently ranked 343 of 365 in D1. Trending down strongly 🔴.

Defensive Trends:

  • Opp Shooting (Opp Shooting): Currently ranked 358 of 365 in D1. Trending up strongly 🔴.
  • Opp Turnovers (Opp Turnovers): Currently ranked 269 of 365 in D1. Trending down strongly 🟢.


Figure 2: Offensive Four Factors comparison across SWAC teams. The radar chart shows each team’s shooting efficiency (eFG%), ball security (TOV%), offensive rebounding (OREB%), and free throw generation (FT Rate).


Figure 3: Defensive Four Factors comparison across SWAC teams. The radar chart shows each team’s opponent shooting defense (Opp eFG%), ball disruption (forcing TOV%), defensive rebounding (DREB%), and opponent free throw prevention (Opp FT Rate).


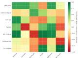
Figure 4: MACD trends heatmap showing which metrics are improving (green) or declining (red) for each team. Stronger colors indicate more pronounced trends.


Looking Ahead

As SWAC teams continue their season, the MACD trending indicators will help identify which teams are genuinely improving versus those riding unsustainable momentum. Check back next week for updated analysis.


Metrics Glossary

Four Factors (Dean Oliver’s framework for basketball success):

  • eFG% (Effective Field Goal %): Field goal percentage adjusted for 3-pointers being worth more (FGM + 0.5×3PM) / FGA. Higher is better offensively, lower is better defensively.
  • TOV% (Turnover Rate): Turnovers per 100 possessions. Lower is better offensively (taking care of the ball), higher is better defensively (forcing turnovers).
  • OREB% / DREB% (Offensive/Defensive Rebound Rate): Percentage of available rebounds grabbed. Offensive rebounds create second-chance points; defensive rebounds end opponent possessions.
  • FTR (Free Throw Rate): Free throws made per field goal attempt (FTM/FGA). Measures ability to get to the line AND convert. Higher is better offensively, lower is better defensively.

Other Metrics:

  • Elo Rating: Chess-style rating system that updates based on game results and opponent strength. Higher Elo indicates stronger team.
  • Efficiency Margin: Point differential per 100 possessions (Offensive Efficiency – Defensive Efficiency). Accounts for pace of play.
  • MACD (Moving Average Convergence Divergence): Trend indicator comparing 12-game and 26-game exponential moving averages. Positive MACD = improving trend, Negative MACD = declining trend.

Analysis powered by HoopSci’s advanced metrics and MACD trending indicators.