WAC Update: Week 10
January 12, 2026The WAC enters Week 10 with teams showing diverse trending patterns. This analysis examines each team’s performance trends using MACD (Moving Average Convergence Divergence) indicators to identify not just where teams stand, but where they’re headed.

Figure 1: Efficiency margin trends for WAC teams throughout the season. Teams trending upward show improving performance, while downward trends indicate struggles.
Conference Snapshot
- Week Dates: January 05 – January 11, 2026
- Trending Up (Efficiency): Utah Valley, Utah Tech, Tarleton, Abil Christian, Southern Utah
- Trending Down (Efficiency): California Baptist, UT Arlington
Team-by-Team Analysis
Abil Christian
Record: 10-7 | Elo: 1508.8 (ranked 171 of 365) | Efficiency Margin: -11.12 (ranked 257 of 365)
Offensive Trends:
- Shooting (Shooting): Currently ranked 254 of 365 in D1. Trending up strongly 🟢.
- Off Reb Pct (Offensive Rebounding): Currently ranked 147 of 365 in D1. Trending down strongly 🔴.
Defensive Trends:
- Opp Shooting (Opp Shooting): Currently ranked 340 of 365 in D1. Trending up strongly 🔴.
- Opp FGM Per Poss (Opp FG Makes Per Possession (%)): Currently ranked 91 of 365 in D1. Trending up strongly 🔴.
California Baptist
Record: 12-6 | Elo: 1540.5 (ranked 126 of 365) | Efficiency Margin: -1.69 (ranked 173 of 365)
Offensive Trends:
- Off Reb Pct (Offensive Rebounding): Currently ranked 14 of 365 in D1. Trending up strongly 🟢.
- FT Rate (FTA/FGA (%)): Currently ranked 174 of 365 in D1. Trending up moderately 🟢.
Defensive Trends:
- Opp 2Pt Pct (Opp 2 Point FGM/FGA (%)): Currently ranked 83 of 365 in D1. Trending down strongly 🟢.
- Opp FT Pct (Opp FTM/FTA (%)): Currently ranked 264 of 365 in D1. Trending up strongly 🔴.
Southern Utah
Record: 4-13 | Elo: 1361.3 (ranked 341 of 365) | Efficiency Margin: -26.44 (ranked 351 of 365)
Offensive Trends:
- FT Rate (FTA/FGA (%)): Currently ranked 346 of 365 in D1. Trending down strongly 🔴.
- 3PM Per Poss (3 Point Makes Per Possession (%)): Currently ranked 270 of 365 in D1. Trending up strongly 🟢.
Defensive Trends:
- Def Reb Pct (Defensive Rebounding): Currently ranked 277 of 365 in D1. Trending down strongly 🔴.
- Opp FGA Per Poss (Opp FG Attempts Per Possession (%)): Currently ranked 356 of 365 in D1. Trending up strongly 🔴.
Tarleton
Record: 11-6 | Elo: 1495.8 (ranked 198 of 365) | Efficiency Margin: -5.19 (ranked 205 of 365)
Offensive Trends:
- Turnovers (Turnovers): Currently ranked 299 of 365 in D1. Trending down strongly 🟢.
- Adj Off Eff (Adjusted Offensive Efficiency): Currently ranked 199 of 365 in D1. Trending up strongly 🟢.
Defensive Trends:
- Opp Shooting (Opp Shooting): Currently ranked 334 of 365 in D1. Trending up strongly 🔴.
- Opp Turnovers (Opp Turnovers): Currently ranked 1 of 365 in D1. Trending up strongly 🔴.
UT Arlington
Record: 11-5 | Elo: 1522.5 (ranked 152 of 365) | Efficiency Margin: +0.03 (ranked 161 of 365)
Offensive Trends:
- FT Rate (FTA/FGA (%)): Currently ranked 41 of 365 in D1. Trending up strongly 🟢.
- FGA Per Poss (Field Goal Attempts Per Possession (%)): Currently ranked 346 of 365 in D1. Trending down strongly 🔴.
Defensive Trends:
- Def Reb Pct (Defensive Rebounding): Currently ranked 26 of 365 in D1. Trending up strongly 🟢.
- Opp FT Rate (Opp FTA/FGA (%)): Currently ranked 332 of 365 in D1. Trending up strongly 🔴.
Utah Tech
Record: 8-9 | Elo: 1404.9 (ranked 300 of 365) | Efficiency Margin: -9.19 (ranked 238 of 365)
Offensive Trends:
- Shooting (Shooting): Currently ranked 129 of 365 in D1. Trending up strongly 🟢.
- Adj Off Eff (Adjusted Offensive Efficiency): Currently ranked 206 of 365 in D1. Trending up strongly 🟢.
Defensive Trends:
- Opp 2Pt Pct (Opp 2 Point FGM/FGA (%)): Currently ranked 313 of 365 in D1. Trending up strongly 🔴.
- Def Reb Pct (Defensive Rebounding): Currently ranked 301 of 365 in D1. Trending down moderately 🔴.
Utah Valley
Record: 14-4 | Elo: 1636.1 (ranked 45 of 365) | Efficiency Margin: +6.55 (ranked 113 of 365)
Offensive Trends:
- Shooting (Shooting): Currently ranked 29 of 365 in D1. Trending up strongly 🟢.
- Turnovers (Turnovers): Currently ranked 356 of 365 in D1. Trending up strongly 🔴.
Defensive Trends:
- Opp Shooting (Opp Shooting): Currently ranked 97 of 365 in D1. Trending up strongly 🔴.
- Opp FG Pct (%) (Opp FGM/FGA (%)): Currently ranked 142 of 365 in D1. Trending up strongly 🔴.

Figure 2: Offensive Four Factors comparison across WAC teams. The radar chart shows each team’s shooting efficiency (eFG%), ball security (TOV%), offensive rebounding (OREB%), and free throw generation (FT Rate).

Figure 3: Defensive Four Factors comparison across WAC teams. The radar chart shows each team’s opponent shooting defense (Opp eFG%), ball disruption (forcing TOV%), defensive rebounding (DREB%), and opponent free throw prevention (Opp FT Rate).

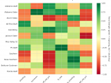
Figure 4: MACD trends heatmap showing which metrics are improving (green) or declining (red) for each team. Stronger colors indicate more pronounced trends.
Looking Ahead
As WAC teams continue their season, the MACD trending indicators will help identify which teams are genuinely improving versus those riding unsustainable momentum. Check back next week for updated analysis.
Metrics Glossary
Four Factors (Dean Oliver’s framework for basketball success):
- eFG% (Effective Field Goal %): Field goal percentage adjusted for 3-pointers being worth more (FGM + 0.5×3PM) / FGA. Higher is better offensively, lower is better defensively.
- TOV% (Turnover Rate): Turnovers per 100 possessions. Lower is better offensively (taking care of the ball), higher is better defensively (forcing turnovers).
- OREB% / DREB% (Offensive/Defensive Rebound Rate): Percentage of available rebounds grabbed. Offensive rebounds create second-chance points; defensive rebounds end opponent possessions.
- FTR (Free Throw Rate): Free throws made per field goal attempt (FTM/FGA). Measures ability to get to the line AND convert. Higher is better offensively, lower is better defensively.
Other Metrics:
- Elo Rating: Chess-style rating system that updates based on game results and opponent strength. Higher Elo indicates stronger team.
- Efficiency Margin: Point differential per 100 possessions (Offensive Efficiency – Defensive Efficiency). Accounts for pace of play.
- MACD (Moving Average Convergence Divergence): Trend indicator comparing 12-game and 26-game exponential moving averages. Positive MACD = improving trend, Negative MACD = declining trend.
Analysis powered by HoopSci’s advanced metrics and MACD trending indicators.

