West Coast Update: Week 11
January 19, 2026The West Coast enters Week 11 with teams showing diverse trending patterns. This analysis examines each team’s performance trends using MACD (Moving Average Convergence Divergence) indicators to identify not just where teams stand, but where they’re headed.

Figure 1: Efficiency margin trends for West Coast teams throughout the season. Teams trending upward show improving performance, while downward trends indicate struggles.
Conference Snapshot
- Week Dates: January 12 – January 18, 2026
- Trending Up (Efficiency): Pacific, Saint Mary’s, San Diego, San Francisco, Washington St
- Trending Down (Efficiency): Gonzaga, Loyola Mary, Pepperdine, Portland, Santa Clara
Team-by-Team Analysis
Gonzaga
Record: 19-1 | Elo: 1766.1 (ranked 5 of 365) | Efficiency Margin: +37.70 (ranked 3 of 365)
Offensive Trends:
- Turnovers (Turnovers): Currently ranked 54 of 365 in D1. Trending up strongly 🔴.
- Off Reb Pct (Offensive Rebounding): Currently ranked 11 of 365 in D1. Trending up strongly 🟢.
Defensive Trends:
- Opp Turnovers (Opp Turnovers): Currently ranked 31 of 365 in D1. Trending up strongly 🔴.
- Opp FT Rate (Opp FTA/FGA (%)): Currently ranked 101 of 365 in D1. Trending down strongly 🟢.
Loyola Mary
Record: 11-10 | Elo: 1480.3 (ranked 215 of 365) | Efficiency Margin: -0.71 (ranked 165 of 365)
Offensive Trends:
- Shooting (Shooting): Currently ranked 178 of 365 in D1. Trending down strongly 🔴.
- Turnovers (Turnovers): Currently ranked 200 of 365 in D1. Trending up strongly 🔴.
Defensive Trends:
- Opp 3Pt Pct (Opp 3 Point FGM/FGA (%)): Currently ranked 193 of 365 in D1. Trending up strongly 🔴.
- Opp FTM Per Poss (Opp Free Throw Makes Per Possession (%)): Currently ranked 137 of 365 in D1. Trending up strongly 🔴.
Oregon State
Record: 10-11 | Elo: 1477.6 (ranked 224 of 365) | Efficiency Margin: -6.89 (ranked 219 of 365)
Offensive Trends:
- Shooting (Shooting): Currently ranked 196 of 365 in D1. Trending down strongly 🔴.
- FT Rate (FTA/FGA (%)): Currently ranked 18 of 365 in D1. Trending up strongly 🟢.
Defensive Trends:
- Opp FT Rate (Opp FTA/FGA (%)): Currently ranked 244 of 365 in D1. Trending up strongly 🔴.
- Opp FTM Per Poss (Opp Free Throw Makes Per Possession (%)): Currently ranked 296 of 365 in D1. Trending up strongly 🔴.
Pacific
Record: 13-8 | Elo: 1427.7 (ranked 275 of 365) | Efficiency Margin: +4.71 (ranked 117 of 365)
Offensive Trends:
- Shooting (Shooting): Currently ranked 85 of 365 in D1. Trending up strongly 🟢.
- Off Reb Pct (Offensive Rebounding): Currently ranked 72 of 365 in D1. Trending up strongly 🟢.
Defensive Trends:
- Opp FT Pct (Opp FTM/FTA (%)): Currently ranked 305 of 365 in D1. Trending up strongly 🔴.
- Opp Assists per FGM (Opp Assists/FGM (%)): Currently ranked 95 of 365 in D1. Trending down strongly 🟢.
Pepperdine
Record: 6-14 | Elo: 1368.3 (ranked 336 of 365) | Efficiency Margin: -14.05 (ranked 279 of 365)
Offensive Trends:
- Shooting (Shooting): Currently ranked 334 of 365 in D1. Trending down strongly 🔴.
- Off Reb Pct (Offensive Rebounding): Currently ranked 290 of 365 in D1. Trending down strongly 🔴.
Defensive Trends:
- Opp Turnovers (Opp Turnovers): Currently ranked 153 of 365 in D1. Trending up strongly 🔴.
- Def Reb Pct (Defensive Rebounding): Currently ranked 296 of 365 in D1. Trending down strongly 🔴.
Portland
Record: 10-11 | Elo: 1428.8 (ranked 271 of 365) | Efficiency Margin: -8.12 (ranked 233 of 365)
Offensive Trends:
- Shooting (Shooting): Currently ranked 165 of 365 in D1. Trending down strongly 🔴.
- FGA Per Poss (Field Goal Attempts Per Possession (%)): Currently ranked 289 of 365 in D1. Trending up strongly 🟢.
Defensive Trends:
- Opp Shooting (Opp Shooting): Currently ranked 217 of 365 in D1. Trending down strongly 🟢.
- Opp FT Rate (Opp FTA/FGA (%)): Currently ranked 196 of 365 in D1. Trending up strongly 🔴.
Saint Mary’s
Record: 17-3 | Elo: 1726.9 (ranked 11 of 365) | Efficiency Margin: +22.02 (ranked 32 of 365)
Offensive Trends:
- Off Reb Pct (Offensive Rebounding): Currently ranked 23 of 365 in D1. Trending down strongly 🔴.
- FGA Per Poss (Field Goal Attempts Per Possession (%)): Currently ranked 155 of 365 in D1. Trending down strongly 🔴.
Defensive Trends:
- Opp Shooting (Opp Shooting): Currently ranked 36 of 365 in D1. Trending up strongly 🔴.
- Opp 2Pt Pct (Opp 2 Point FGM/FGA (%)): Currently ranked 55 of 365 in D1. Trending up strongly 🔴.
San Diego
Record: 8-12 | Elo: 1368.8 (ranked 334 of 365) | Efficiency Margin: -13.06 (ranked 271 of 365)
Offensive Trends:
- Shooting (Shooting): Currently ranked 192 of 365 in D1. Trending up strongly 🟢.
- Off Reb Pct (Offensive Rebounding): Currently ranked 288 of 365 in D1. Trending up strongly 🟢.
Defensive Trends:
- Opp Shooting (Opp Shooting): Currently ranked 269 of 365 in D1. Trending down strongly 🟢.
- Opp FGA Per Poss (Opp FG Attempts Per Possession (%)): Currently ranked 124 of 365 in D1. Trending up strongly 🔴.
San Francisco
Record: 13-8 | Elo: 1594.7 (ranked 74 of 365) | Efficiency Margin: +7.57 (ranked 102 of 365)
Offensive Trends:
- 3PM Per Poss (3 Point Makes Per Possession (%)): Currently ranked 56 of 365 in D1. Trending up strongly 🟢.
- 3Pt Pct (3 Point FGM/FGA (%)): Currently ranked 92 of 365 in D1. Trending up strongly 🟢.
Defensive Trends:
- Opp Shooting (Opp Shooting): Currently ranked 70 of 365 in D1. Trending up strongly 🔴.
- Def Reb Pct (Defensive Rebounding): Currently ranked 19 of 365 in D1. Trending up strongly 🟢.
Santa Clara
Record: 16-5 | Elo: 1622.0 (ranked 56 of 365) | Efficiency Margin: +14.06 (ranked 68 of 365)
Offensive Trends:
- Turnovers (Turnovers): Currently ranked 137 of 365 in D1. Trending down strongly 🟢.
- 2Pt Rate (2 Point Attempts/FGA (%)): Currently ranked 277 of 365 in D1. Trending up strongly 🟢.
Defensive Trends:
- Opp Turnovers (Opp Turnovers): Currently ranked 13 of 365 in D1. Trending up strongly 🔴.
- Opp FT Pct (Opp FTM/FTA (%)): Currently ranked 273 of 365 in D1. Trending down strongly 🟢.
Seattle
Record: 13-7 | Elo: 1532.0 (ranked 139 of 365) | Efficiency Margin: +4.61 (ranked 118 of 365)
Offensive Trends:
- Shooting (Shooting): Currently ranked 167 of 365 in D1. Trending down strongly 🔴.
- Off Reb Pct (Offensive Rebounding): Currently ranked 319 of 365 in D1. Trending down strongly 🔴.
Defensive Trends:
- Def Reb Pct (Defensive Rebounding): Currently ranked 288 of 365 in D1. Trending down strongly 🔴.
- Opp FGM Per Poss (Opp FG Makes Per Possession (%)): Currently ranked 59 of 365 in D1. Trending up strongly 🔴.
Washington St
Record: 7-12 | Elo: 1503.2 (ranked 183 of 365) | Efficiency Margin: -1.45 (ranked 171 of 365)
Offensive Trends:
- 3PM Per Poss (3 Point Makes Per Possession (%)): Currently ranked 105 of 365 in D1. Trending up strongly 🟢.
- 3Pt Pct (3 Point FGM/FGA (%)): Currently ranked 105 of 365 in D1. Trending up strongly 🟢.
Defensive Trends:
- Opp 3PM Per Poss (Opp 3 Point Makes Per Possession (%)): Currently ranked 290 of 365 in D1. Trending up strongly 🔴.
- Opp 3Pt Pct (Opp 3 Point FGM/FGA (%)): Currently ranked 323 of 365 in D1. Trending up strongly 🔴.

Figure 2: Offensive Four Factors comparison across West Coast teams. The radar chart shows each team’s shooting efficiency (eFG%), ball security (TOV%), offensive rebounding (OREB%), and free throw generation (FT Rate).

Figure 3: Defensive Four Factors comparison across West Coast teams. The radar chart shows each team’s opponent shooting defense (Opp eFG%), ball disruption (forcing TOV%), defensive rebounding (DREB%), and opponent free throw prevention (Opp FT Rate).

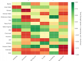
Figure 4: MACD trends heatmap showing which metrics are improving (green) or declining (red) for each team. Stronger colors indicate more pronounced trends.
Looking Ahead
As West Coast teams continue their season, the MACD trending indicators will help identify which teams are genuinely improving versus those riding unsustainable momentum. Check back next week for updated analysis.
Metrics Glossary
Four Factors (Dean Oliver’s framework for basketball success):
- eFG% (Effective Field Goal %): Field goal percentage adjusted for 3-pointers being worth more (FGM + 0.5×3PM) / FGA. Higher is better offensively, lower is better defensively.
- TOV% (Turnover Rate): Turnovers per 100 possessions. Lower is better offensively (taking care of the ball), higher is better defensively (forcing turnovers).
- OREB% / DREB% (Offensive/Defensive Rebound Rate): Percentage of available rebounds grabbed. Offensive rebounds create second-chance points; defensive rebounds end opponent possessions.
- FTR (Free Throw Rate): Free throws made per field goal attempt (FTM/FGA). Measures ability to get to the line AND convert. Higher is better offensively, lower is better defensively.
Other Metrics:
- Elo Rating: Chess-style rating system that updates based on game results and opponent strength. Higher Elo indicates stronger team.
- Efficiency Margin: Point differential per 100 possessions (Offensive Efficiency – Defensive Efficiency). Accounts for pace of play.
- MACD (Moving Average Convergence Divergence): Trend indicator comparing 12-game and 26-game exponential moving averages. Positive MACD = improving trend, Negative MACD = declining trend.
Analysis powered by HoopSci’s advanced metrics and MACD trending indicators.

