WAC Update: Week 11
January 19, 2026The WAC enters Week 11 with teams showing diverse trending patterns. This analysis examines each team’s performance trends using MACD (Moving Average Convergence Divergence) indicators to identify not just where teams stand, but where they’re headed.

Figure 1: Efficiency margin trends for WAC teams throughout the season. Teams trending upward show improving performance, while downward trends indicate struggles.
Conference Snapshot
- Week Dates: January 12 – January 18, 2026
- Trending Up (Efficiency): Utah Valley, Utah Tech, Tarleton, Southern Utah
- Trending Down (Efficiency): California Baptist, Abil Christian, UT Arlington
Team-by-Team Analysis
Abil Christian
Record: 10-9 | Elo: 1486.1 (ranked 209 of 365) | Efficiency Margin: -14.61 (ranked 282 of 365)
Offensive Trends:
- Off Reb Pct (Offensive Rebounding): Currently ranked 162 of 365 in D1. Trending down strongly 🔴.
- FT Rate (FTA/FGA (%)): Currently ranked 89 of 365 in D1. Trending up strongly 🟢.
Defensive Trends:
- Opp FT Rate (Opp FTA/FGA (%)): Currently ranked 363 of 365 in D1. Trending down strongly 🟢.
- Opp FGM Per Poss (Opp FG Makes Per Possession (%)): Currently ranked 95 of 365 in D1. Trending up strongly 🔴.
California Baptist
Record: 13-6 | Elo: 1552.5 (ranked 111 of 365) | Efficiency Margin: -0.65 (ranked 163 of 365)
Offensive Trends:
- Blocks Per FGA (Blocks Per Shot Attempt): Currently ranked 301 of 365 in D1. Trending up strongly 🟢.
- Turnovers (Turnovers): Currently ranked 265 of 365 in D1. Trending down moderately 🟢.
Defensive Trends:
- Opp FG Pct (%) (Opp FGM/FGA (%)): Currently ranked 92 of 365 in D1. Trending down strongly 🟢.
- Opp 2Pt Pct (Opp 2 Point FGM/FGA (%)): Currently ranked 64 of 365 in D1. Trending down strongly 🟢.
Southern Utah
Record: 6-13 | Elo: 1383.0 (ranked 325 of 365) | Efficiency Margin: -22.09 (ranked 336 of 365)
Offensive Trends:
- Shooting (Shooting): Currently ranked 292 of 365 in D1. Trending up strongly 🟢.
- 2Pt Rate (2 Point Attempts/FGA (%)): Currently ranked 137 of 365 in D1. Trending down strongly 🔴.
Defensive Trends:
- Opp Shooting (Opp Shooting): Currently ranked 290 of 365 in D1. Trending down strongly 🟢.
- Opp FGM Per Poss (Opp FG Makes Per Possession (%)): Currently ranked 349 of 365 in D1. Trending down strongly 🟢.
Tarleton
Record: 11-8 | Elo: 1475.1 (ranked 227 of 365) | Efficiency Margin: -7.66 (ranked 228 of 365)
Offensive Trends:
- Turnovers (Turnovers): Currently ranked 278 of 365 in D1. Trending down strongly 🟢.
- Adj Off Eff (Adjusted Offensive Efficiency): Currently ranked 217 of 365 in D1. Trending up strongly 🟢.
Defensive Trends:
- Opp Shooting (Opp Shooting): Currently ranked 343 of 365 in D1. Trending up strongly 🔴.
- Opp FG Pct (%) (Opp FGM/FGA (%)): Currently ranked 346 of 365 in D1. Trending up strongly 🔴.
UT Arlington
Record: 12-6 | Elo: 1527.3 (ranked 143 of 365) | Efficiency Margin: -1.70 (ranked 174 of 365)
Offensive Trends:
- Shooting (Shooting): Currently ranked 273 of 365 in D1. Trending down strongly 🔴.
- FT Rate (FTA/FGA (%)): Currently ranked 44 of 365 in D1. Trending up strongly 🟢.
Defensive Trends:
- Opp 2Pt Rate (Opp 2 Point Attempts/FGA (%)): Currently ranked 360 of 365 in D1. Trending up strongly 🔴.
- Opp 2PM Per Poss (Opp 2 Point Makes Per Possession (%)): Currently ranked 282 of 365 in D1. Trending up strongly 🔴.
Utah Tech
Record: 9-10 | Elo: 1405.1 (ranked 304 of 365) | Efficiency Margin: -8.46 (ranked 235 of 365)
Offensive Trends:
- Adj Off Eff (Adjusted Offensive Efficiency): Currently ranked 237 of 365 in D1. Trending up strongly 🟢.
- 2Pt Pct (2 Point FGM/FGA (%)): Currently ranked 55 of 365 in D1. Trending up strongly 🟢.
Defensive Trends:
- Opp Shooting (Opp Shooting): Currently ranked 183 of 365 in D1. Trending down strongly 🟢.
- Opp FG Pct (%) (Opp FGM/FGA (%)): Currently ranked 260 of 365 in D1. Trending down strongly 🟢.
Utah Valley
Record: 15-4 | Elo: 1640.8 (ranked 41 of 365) | Efficiency Margin: +6.79 (ranked 110 of 365)
Offensive Trends:
- Shooting (Shooting): Currently ranked 20 of 365 in D1. Trending up strongly 🟢.
- Adj Off Eff (Adjusted Offensive Efficiency): Currently ranked 142 of 365 in D1. Trending up strongly 🟢.
Defensive Trends:
- Opp Turnovers (Opp Turnovers): Currently ranked 34 of 365 in D1. Trending up strongly 🔴.
- Opp FG Pct (%) (Opp FGM/FGA (%)): Currently ranked 140 of 365 in D1. Trending up strongly 🔴.

Figure 2: Offensive Four Factors comparison across WAC teams. The radar chart shows each team’s shooting efficiency (eFG%), ball security (TOV%), offensive rebounding (OREB%), and free throw generation (FT Rate).

Figure 3: Defensive Four Factors comparison across WAC teams. The radar chart shows each team’s opponent shooting defense (Opp eFG%), ball disruption (forcing TOV%), defensive rebounding (DREB%), and opponent free throw prevention (Opp FT Rate).

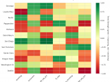
Figure 4: MACD trends heatmap showing which metrics are improving (green) or declining (red) for each team. Stronger colors indicate more pronounced trends.
Looking Ahead
As WAC teams continue their season, the MACD trending indicators will help identify which teams are genuinely improving versus those riding unsustainable momentum. Check back next week for updated analysis.
Metrics Glossary
Four Factors (Dean Oliver’s framework for basketball success):
- eFG% (Effective Field Goal %): Field goal percentage adjusted for 3-pointers being worth more (FGM + 0.5×3PM) / FGA. Higher is better offensively, lower is better defensively.
- TOV% (Turnover Rate): Turnovers per 100 possessions. Lower is better offensively (taking care of the ball), higher is better defensively (forcing turnovers).
- OREB% / DREB% (Offensive/Defensive Rebound Rate): Percentage of available rebounds grabbed. Offensive rebounds create second-chance points; defensive rebounds end opponent possessions.
- FTR (Free Throw Rate): Free throws made per field goal attempt (FTM/FGA). Measures ability to get to the line AND convert. Higher is better offensively, lower is better defensively.
Other Metrics:
- Elo Rating: Chess-style rating system that updates based on game results and opponent strength. Higher Elo indicates stronger team.
- Efficiency Margin: Point differential per 100 possessions (Offensive Efficiency – Defensive Efficiency). Accounts for pace of play.
- MACD (Moving Average Convergence Divergence): Trend indicator comparing 12-game and 26-game exponential moving averages. Positive MACD = improving trend, Negative MACD = declining trend.
Analysis powered by HoopSci’s advanced metrics and MACD trending indicators.

