America East Update: Week 13
February 2, 2026The America East enters Week 13 with teams showing diverse trending patterns. This analysis examines each team’s performance trends using MACD (Moving Average Convergence Divergence) indicators to identify not just where teams stand, but where they’re headed.

Figure 1: Efficiency margin trends for America East teams throughout the season. Teams trending upward show improving performance, while downward trends indicate struggles.
Conference Snapshot
- Week Dates: January 26 – February 01, 2026
- Trending Up (Efficiency): Maine, UNH, NJIT
- Trending Down (Efficiency): Albany, Binghamton, UMass Lowell, UMBC, Vermont
Team-by-Team Analysis
Albany
Record: 7-16 | Elo: 1386.3 (ranked 320 of 365) | Efficiency Margin: -15.30 (ranked 294 of 365)
Offensive Trends:
- Off Reb Pct (Offensive Rebounding): Currently ranked 201 of 365 in D1. Trending down strongly 🔴.
- Shooting (Shooting): Currently ranked 241 of 365 in D1. Trending down weakly 🔴.
Defensive Trends:
- Opp Turnovers (Opp Turnovers): Currently ranked 272 of 365 in D1. Trending down strongly 🔴.
- Def Reb Pct (Defensive Rebounding): Currently ranked 291 of 365 in D1. Trending up strongly 🟢.
Binghamton
Record: 3-18 | Elo: 1332.6 (ranked 357 of 365) | Efficiency Margin: -23.84 (ranked 344 of 365)
Offensive Trends:
- Turnovers (Turnovers): Currently ranked 319 of 365 in D1. Trending down strongly 🟢.
- Off Reb Pct (Offensive Rebounding): Currently ranked 354 of 365 in D1. Trending down strongly 🔴.
Defensive Trends:
- Opp Turnovers (Opp Turnovers): Currently ranked 351 of 365 in D1. Trending down moderately 🔴.
- Def Reb Pct (Defensive Rebounding): Currently ranked 62 of 365 in D1. Trending up moderately 🟢.
Bryant
Record: 7-15 | Elo: 1462.1 (ranked 235 of 365) | Efficiency Margin: -22.72 (ranked 342 of 365)
Offensive Trends:
- Turnovers (Turnovers): Currently ranked 334 of 365 in D1. Trending down strongly 🟢.
- Shooting (Shooting): Currently ranked 356 of 365 in D1. Trending down moderately 🔴.
Defensive Trends:
- Opp Turnovers (Opp Turnovers): Currently ranked 311 of 365 in D1. Trending down strongly 🔴.
- Opp Shooting (Opp Shooting): Currently ranked 185 of 365 in D1. Trending up moderately 🔴.
Maine
Record: 5-18 | Elo: 1399.4 (ranked 306 of 365) | Efficiency Margin: -15.51 (ranked 297 of 365)
Offensive Trends:
- Turnovers (Turnovers): Currently ranked 344 of 365 in D1. Trending down strongly 🟢.
- Off Reb Pct (Offensive Rebounding): Currently ranked 362 of 365 in D1. Trending down strongly 🔴.
Defensive Trends:
- Opp Shooting (Opp Shooting): Currently ranked 134 of 365 in D1. Trending up moderately 🔴.
- Def Reb Pct (Defensive Rebounding): Currently ranked 338 of 365 in D1. Trending down moderately 🔴.
NJIT
Record: 11-12 | Elo: 1406.6 (ranked 297 of 365) | Efficiency Margin: -16.69 (ranked 306 of 365)
Offensive Trends:
- Shooting (Shooting): Currently ranked 334 of 365 in D1. Trending up strongly 🟢.
- Turnovers (Turnovers): Currently ranked 225 of 365 in D1. Trending down strongly 🟢.
Defensive Trends:
- Def Reb Pct (Defensive Rebounding): Currently ranked 247 of 365 in D1. Trending up strongly 🟢.
- Opp Shooting (Opp Shooting): Currently ranked 138 of 365 in D1. Trending down moderately 🟢.
UMBC
Record: 13-8 | Elo: 1458.9 (ranked 237 of 365) | Efficiency Margin: -2.48 (ranked 186 of 365)
Offensive Trends:
- Shooting (Shooting): Currently ranked 111 of 365 in D1. Trending down strongly 🔴.
- Turnovers (Turnovers): Currently ranked 76 of 365 in D1. Trending down strongly 🟢.
Defensive Trends:
- Opp Shooting (Opp Shooting): Currently ranked 183 of 365 in D1. Trending down strongly 🟢.
- Def Reb Pct (Defensive Rebounding): Currently ranked 92 of 365 in D1. Trending up moderately 🟢.
UMass Lowell
Record: 9-14 | Elo: 1443.5 (ranked 259 of 365) | Efficiency Margin: -14.59 (ranked 288 of 365)
Offensive Trends:
- Shooting (Shooting): Currently ranked 251 of 365 in D1. Trending down moderately 🔴.
- Off Reb Pct (Offensive Rebounding): Currently ranked 140 of 365 in D1. Trending up moderately 🟢.
Defensive Trends:
- Opp Turnovers (Opp Turnovers): Currently ranked 300 of 365 in D1. Trending down strongly 🔴.
- Def Reb Pct (Defensive Rebounding): Currently ranked 137 of 365 in D1. Trending up strongly 🟢.
UNH
Record: 8-13 | Elo: 1395.2 (ranked 312 of 365) | Efficiency Margin: -14.07 (ranked 285 of 365)
Offensive Trends:
- Shooting (Shooting): Currently ranked 329 of 365 in D1. Trending up strongly 🟢.
- Turnovers (Turnovers): Currently ranked 154 of 365 in D1. Trending down strongly 🟢.
Defensive Trends:
- Opp Shooting (Opp Shooting): Currently ranked 177 of 365 in D1. Trending down moderately 🟢.
- Def Reb Pct (Defensive Rebounding): Currently ranked 80 of 365 in D1. Trending up moderately 🟢.
Vermont
Record: 14-9 | Elo: 1568.4 (ranked 94 of 365) | Efficiency Margin: -0.55 (ranked 164 of 365)
Offensive Trends:
- Turnovers (Turnovers): Currently ranked 34 of 365 in D1. Trending down strongly 🟢.
- Shooting (Shooting): Currently ranked 111 of 365 in D1. Trending down moderately 🔴.
Defensive Trends:
- Opp Shooting (Opp Shooting): Currently ranked 161 of 365 in D1. Trending down strongly 🟢.
- Opp Turnovers (Opp Turnovers): Currently ranked 346 of 365 in D1. Trending down moderately 🔴.

Figure 2: Offensive Four Factors comparison across America East teams. The radar chart shows each team’s shooting efficiency (eFG%), ball security (TOV%), offensive rebounding (OREB%), and free throw generation (FT Rate).

Figure 3: Defensive Four Factors comparison across America East teams. The radar chart shows each team’s opponent shooting defense (Opp eFG%), ball disruption (forcing TOV%), defensive rebounding (DREB%), and opponent free throw prevention (Opp FT Rate).

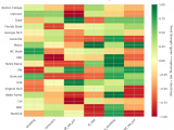
Figure 4: MACD trends heatmap showing which metrics are improving (green) or declining (red) for each team. Stronger colors indicate more pronounced trends.
Looking Ahead
As America East teams continue their season, the MACD trending indicators will help identify which teams are genuinely improving versus those riding unsustainable momentum. Check back next week for updated analysis.
Metrics Glossary
Four Factors (Dean Oliver’s framework for basketball success):
- eFG% (Effective Field Goal %): Field goal percentage adjusted for 3-pointers being worth more (FGM + 0.5×3PM) / FGA. Higher is better offensively, lower is better defensively.
- TOV% (Turnover Rate): Turnovers per 100 possessions. Lower is better offensively (taking care of the ball), higher is better defensively (forcing turnovers).
- OREB% / DREB% (Offensive/Defensive Rebound Rate): Percentage of available rebounds grabbed. Offensive rebounds create second-chance points; defensive rebounds end opponent possessions.
- FTR (Free Throw Rate): Free throws made per field goal attempt (FTM/FGA). Measures ability to get to the line AND convert. Higher is better offensively, lower is better defensively.
Other Metrics:
- Elo Rating: Chess-style rating system that updates based on game results and opponent strength. Higher Elo indicates stronger team.
- Efficiency Margin: Point differential per 100 possessions (Offensive Efficiency – Defensive Efficiency). Accounts for pace of play.
- MACD (Moving Average Convergence Divergence): Trend indicator comparing 12-game and 26-game exponential moving averages. Positive MACD = improving trend, Negative MACD = declining trend.
Analysis powered by HoopSci’s advanced metrics and MACD trending indicators.

