WAC Update: Week 15

WAC Update: Week 15

February 16, 2026 0 By Neill White

Strongest Offensive Trends

WAC Week 15 Offense Report

The following trends have emerged in the current state of offense in the WAC conference:

  • California Baptist’s turnovers are improving, a positive trend contributing to their overall offensive performance. This improvement is notable both versus weaker competition and stronger teams.
  • Tarleton’s turnover issues persist, hindering their ability to maintain possession and score efficiently, particularly when facing stronger competition.
  • Utah Tech’s shooting has seen significant improvement, a key factor in their increased effectiveness on offense.
  • Utah Valley’s struggles with shooting continue, becoming more pronounced when the team faces stronger teams.

Strongest Defensive Trends

Defensive Struggles and Strengths in the WAC

As we dive into Week 15 of the WAC conference, several teams are navigating significant defensive trends.

• Utah Valley’s opponent shooting worsens versus stronger competition, making it a problem that they will need to address moving forward.
• California Baptist struggles with forcing turnovers from their opponents, allowing them to maintain possession and score at will.
• Utah Tech’s defense tightens up versus weaker competition, stifling opponents’ scoring chances.
• Utah Valley improves in forcing turnovers from their opponents, but struggles to capitalize on this trend versus stronger competition.


Figure 1: Efficiency margin trends for WAC teams throughout the season. Teams trending upward show improving performance, while downward trends indicate struggles.

Conference Snapshot


Team-by-Team Analysis

Abil Christian

Record: 12-13 | Elo: 1464.8 (ranked 232 of 365) | Efficiency Margin: -14.36 (ranked 289 of 365)

Offensive Trends:

  • Shooting (Shooting): Currently ranked 323 of 365 in D1. Trending down moderately 🔴.
  • Turnovers (Turnovers): Currently ranked 348 of 365 in D1. Trending up moderately 🔴.

Defensive Trends:

  • Opp Turnovers (Opp Turnovers): Currently ranked 2 of 365 in D1. Trending up strongly 🟢.
  • Opp Shooting (Opp Shooting): Currently ranked 346 of 365 in D1. Trending up moderately 🔴.

California Baptist

Record: 19-7 | Elo: 1582.2 (ranked 82 of 365) | Efficiency Margin: -0.46 (ranked 162 of 365)

Offensive Trends:

  • Shooting (Shooting): Currently ranked 310 of 365 in D1. Trending down strongly 🔴.
  • Turnovers (Turnovers): Currently ranked 245 of 365 in D1. Trending down strongly 🟢.

Defensive Trends:

  • Opp Turnovers (Opp Turnovers): Currently ranked 205 of 365 in D1. Trending down strongly 🔴.
  • Opp Shooting (Opp Shooting): Currently ranked 23 of 365 in D1. Trending down moderately 🟢.

Southern Utah

Record: 9-17 | Elo: 1397.7 (ranked 307 of 365) | Efficiency Margin: -19.51 (ranked 325 of 365)

Offensive Trends:

  • Shooting (Shooting): Currently ranked 237 of 365 in D1. Trending up strongly 🟢.
  • Turnovers (Turnovers): Currently ranked 352 of 365 in D1. Trending up strongly 🔴.

Defensive Trends:

  • Opp Shooting (Opp Shooting): Currently ranked 262 of 365 in D1. Trending down moderately 🟢.
  • Opp Turnovers (Opp Turnovers): Currently ranked 314 of 365 in D1. Trending down weakly 🔴.

Tarleton

Record: 12-13 | Elo: 1447.2 (ranked 254 of 365) | Efficiency Margin: -12.49 (ranked 274 of 365)

Offensive Trends:

  • Turnovers (Turnovers): Currently ranked 346 of 365 in D1. Trending up strongly 🔴.
  • Off Reb Pct (Offensive Rebounding): Currently ranked 215 of 365 in D1. Trending down strongly 🔴.

Defensive Trends:

  • Opp Turnovers (Opp Turnovers): Currently ranked 1 of 365 in D1. Trending up strongly 🟢.
  • Def Reb Pct (Defensive Rebounding): Currently ranked 346 of 365 in D1. Trending down strongly 🔴.

UT Arlington

Record: 14-11 | Elo: 1486.4 (ranked 199 of 365) | Efficiency Margin: -5.55 (ranked 213 of 365)

Offensive Trends:

  • Off Reb Pct (Offensive Rebounding): Currently ranked 56 of 365 in D1. Trending down moderately 🔴.
  • Shooting (Shooting): Currently ranked 272 of 365 in D1. Trending down weakly 🔴.

Defensive Trends:

  • Opp Shooting (Opp Shooting): Currently ranked 55 of 365 in D1. Trending up strongly 🔴.
  • Def Reb Pct (Defensive Rebounding): Currently ranked 97 of 365 in D1. Trending down strongly 🔴.

Utah Tech

Record: 15-11 | Elo: 1469.9 (ranked 221 of 365) | Efficiency Margin: -6.76 (ranked 222 of 365)

Offensive Trends:

  • Shooting (Shooting): Currently ranked 115 of 365 in D1. Trending up strongly 🟢.
  • Turnovers (Turnovers): Currently ranked 242 of 365 in D1. Trending down strongly 🟢.

Defensive Trends:

  • Opp Shooting (Opp Shooting): Currently ranked 127 of 365 in D1. Trending down strongly 🟢.
  • Opp Turnovers (Opp Turnovers): Currently ranked 151 of 365 in D1. Trending down moderately 🔴.

Utah Valley

Record: 18-7 | Elo: 1621.6 (ranked 53 of 365) | Efficiency Margin: +4.35 (ranked 118 of 365)

Offensive Trends:

  • Turnovers (Turnovers): Currently ranked 356 of 365 in D1. Trending up moderately 🔴.
  • Shooting (Shooting): Currently ranked 31 of 365 in D1. Trending up weakly 🟢.

Defensive Trends:

  • Opp Shooting (Opp Shooting): Currently ranked 98 of 365 in D1. Trending up strongly 🔴.
  • Opp Turnovers (Opp Turnovers): Currently ranked 11 of 365 in D1. Trending up strongly 🟢.


Figure 2: Offensive Four Factors comparison across WAC teams. The radar chart shows each team’s shooting efficiency (eFG%), ball security (TOV%), offensive rebounding (OREB%), and free throw generation (FT Rate).


Figure 3: Defensive Four Factors comparison across WAC teams. The radar chart shows each team’s opponent shooting defense (Opp eFG%), ball disruption (forcing TOV%), defensive rebounding (DREB%), and opponent free throw prevention (Opp FT Rate).


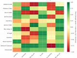
Figure 4: MACD trends heatmap showing which metrics are improving (green) or declining (red) for each team. Stronger colors indicate more pronounced trends.


Looking Ahead

WAC Teams Show Signs of Improvement and Decline in Week 15 Analysis

As the Western Athletic Conference (WAC) season continues, our analysis highlights key trends that indicate which teams are genuinely improving their performance. This week’s focus is on California Baptist and Utah Tech for their impressive offense and defense, respectively.

Offensive Trends:

  • California Baptist: Despite a strong shooting average of 0.48 versus weaker competition, the team has seen its shooting trending worsening versus stronger competition. This decline in shooting efficiency could be a problem for the Lancers, indicating that their scoring may not be as consistent.
  • Utah Tech: The Trailblazers’ shooting has been on an upward trend versus weaker competition, with a strong increase in average to 0.53 versus weaker competition. However, this improvement in shooting accuracy does not necessarily suggest that Utah Tech is finding its rhythm and becoming a more formidable offense.

Defensive Trends:

  • Utah Valley: Unfortunately for the Wolverines, their defensive performance has shown signs of decline versus stronger competition, with opponents forcing fewer turnovers against them.
  • California Baptist: The Lancers have struggled on the defensive end as well, with opponents forcing fewer turnovers against them versus weaker competition.

Conclusion:

As the WAC season progresses, these trends will be crucial in determining which teams are genuinely improving and which ones are experiencing unsustainable momentum.


Metrics Glossary

Four Factors (Dean Oliver’s framework for basketball success):

  • eFG% (Effective Field Goal %): Field goal percentage adjusted for 3-pointers being worth more (FGM + 0.5×3PM) / FGA. Higher is better offensively, lower is better defensively.
  • TOV% (Turnover Rate): Turnovers per 100 possessions. Lower is better offensively (taking care of the ball), higher is better defensively (forcing turnovers).
  • OREB% / DREB% (Offensive/Defensive Rebound Rate): Percentage of available rebounds grabbed. Offensive rebounds create second-chance points; defensive rebounds end opponent possessions.
  • FTR (Free Throw Rate): Free throws made per field goal attempt (FTM/FGA). Measures ability to get to the line AND convert. Higher is better offensively, lower is better defensively.

Other Metrics:

  • Elo Rating: Chess-style rating system that updates based on game results and opponent strength. Higher Elo indicates stronger team.
  • Efficiency Margin: Point differential per 100 possessions (Offensive Efficiency – Defensive Efficiency). Accounts for pace of play.
  • MACD (Moving Average Convergence Divergence): Trend indicator comparing 12-game and 26-game exponential moving averages. Positive MACD = improving trend, Negative MACD = declining trend.

Analysis powered by HoopSci’s advanced metrics and MACD trending indicators.