Atlantic Sun Update: Week 17
March 2, 2026Strongest Offensive Trends
- FGCU, Off Reb Pct, Down, Trend Strength: -0.019 – FGCU’s struggles to secure rebounds are creating issues with control over possessions throughout games.
- North Florida, Shooting, Down, Trend Strength: -0.018 – North Florida’s inconsistent shooting has been a notable problem, with their team averaging 7.3 three-point attempts per game over the past five contests, yet managing to convert only 25% of those shots, which is contributing significantly to their scoring struggles.
- FGCU, Shooting, Down, Trend Strength: -0.014 – FGCU’s shooting struggles have hindered their overall performance on the court, contributing to inconsistencies in scoring and possession management.
- FGCU, Turnovers, Down, Trend Strength: -0.014 – FGCU has shown improvement in their turnover rate, now conserving possession and maintaining sustained attacks on offense while minimizing defensive liabilities.
- Jacksonville, Turnovers, Down, Trend Strength: -0.011 – Jacksonville’s reduction in turnovers has contributed to their improved performance on the court by allowing them to maintain possession, limit opponent scoring opportunities, and mitigate the struggle associated with fewer favorable scoring chances due to less control over the ball.
Strongest Defensive Trends
- E Kentucky, Opp Shooting, Up, Trend Strength: 0.015 – Eastern Kentucky’s defensive performance has been struggling, as opponents’ shooting continues to falter with each subsequent game.
- North Florida, Opp Shooting, Down, Trend Strength: -0.014 – North Florida’s defensive strategy has been stifling their opponents, causing them to struggle with making shots in recent matchups.
- FGCU, Opp Shooting, Up, Trend Strength: 0.012 – FGCU’s stifling defense is causing opponents to struggle with their shooting rhythm, as evidenced by their inability to find a consistent scoring pace against FGCU.
- Stetson, Opp Shooting, Down, Trend Strength: -0.012 – Stetson’s defense, led by its strong press and ability to contest shots at the rim, continues to make life difficult for opponents as they struggle to find their rhythm against the team.
- FGCU, Opp Turnovers, Up, Trend Strength: 0.008 – FGCU’s defense has been struggling to force turnovers, showcasing its difficulty in pressuring opponents.

Figure 1: Efficiency margin trends for Atlantic Sun teams throughout the season. Teams trending upward show improving performance, while downward trends indicate struggles.
Conference Snapshot
- Week Dates: February 23 – March 01, 2026
- Trending Up (Efficiency): Jacksonville, Lipscomb, Stetson, Bellarmine, Cent Arkansas
- Trending Down (Efficiency): FGCU, North Florida, North Alabama
Team-by-Team Analysis
Austin Peay
Record: 21-8 | Elo: 1544.3 (ranked 124 of 365) | Efficiency Margin: -2.22 (ranked 181 of 365)
Offensive Trends:
- Shooting (Shooting): Currently ranked 91 of 365 in D1. Trending up strongly 🟢.
- Turnovers (Turnovers): Currently ranked 104 of 365 in D1. Trending up weakly 🔴.
Defensive Trends:
- Opp Shooting (Opp Shooting): Currently ranked 217 of 365 in D1. Trending up strongly 🔴.
- Opp Turnovers (Opp Turnovers): Currently ranked 69 of 365 in D1. Trending down strongly 🔴.
Bellarmine
Record: 12-18 | Elo: 1356.9 (ranked 337 of 365) | Efficiency Margin: -14.25 (ranked 291 of 365)
Offensive Trends:
- Shooting (Shooting): Currently ranked 5 of 365 in D1. Trending up strongly 🟢.
- Turnovers (Turnovers): Currently ranked 60 of 365 in D1. Trending down moderately 🟢.
Defensive Trends:
- Opp Shooting (Opp Shooting): Currently ranked 365 of 365 in D1. Trending up weakly 🔴.
- Opp Turnovers (Opp Turnovers): Currently ranked 259 of 365 in D1. Trending down weakly 🔴.
Cent Arkansas
Record: 20-11 | Elo: 1496.4 (ranked 193 of 365) | Efficiency Margin: -4.77 (ranked 204 of 365)
Offensive Trends:
- Shooting (Shooting): Currently ranked 79 of 365 in D1. Trending up moderately 🟢.
- Turnovers (Turnovers): Currently ranked 98 of 365 in D1. Trending down moderately 🟢.
Defensive Trends:
- Opp Shooting (Opp Shooting): Currently ranked 324 of 365 in D1. Trending up moderately 🔴.
- Opp Turnovers (Opp Turnovers): Currently ranked 42 of 365 in D1. Trending up moderately 🟢.
E Kentucky
Record: 11-20 | Elo: 1423.2 (ranked 278 of 365) | Efficiency Margin: -15.53 (ranked 298 of 365)
Offensive Trends:
- Shooting (Shooting): Currently ranked 143 of 365 in D1. Trending up moderately 🟢.
- Turnovers (Turnovers): Currently ranked 185 of 365 in D1. Trending up weakly 🔴.
Defensive Trends:
- Opp Shooting (Opp Shooting): Currently ranked 341 of 365 in D1. Trending up strongly 🔴.
- Opp Turnovers (Opp Turnovers): Currently ranked 308 of 365 in D1. Trending down moderately 🔴.
FGCU
Record: 14-17 | Elo: 1450.9 (ranked 246 of 365) | Efficiency Margin: -13.59 (ranked 284 of 365)
Offensive Trends:
- Shooting (Shooting): Currently ranked 139 of 365 in D1. Trending down strongly 🔴.
- Turnovers (Turnovers): Currently ranked 150 of 365 in D1. Trending down strongly 🟢.
Defensive Trends:
- Opp Shooting (Opp Shooting): Currently ranked 286 of 365 in D1. Trending up strongly 🔴.
- Opp Turnovers (Opp Turnovers): Currently ranked 219 of 365 in D1. Trending up strongly 🟢.
Jacksonville
Record: 12-19 | Elo: 1425.5 (ranked 275 of 365) | Efficiency Margin: -17.78 (ranked 314 of 365)
Offensive Trends:
- Turnovers (Turnovers): Currently ranked 257 of 365 in D1. Trending down strongly 🟢.
- Off Reb Pct (Offensive Rebounding): Currently ranked 139 of 365 in D1. Trending up moderately 🟢.
Defensive Trends:
- Opp Shooting (Opp Shooting): Currently ranked 303 of 365 in D1. Trending down moderately 🟢.
- Opp Turnovers (Opp Turnovers): Currently ranked 262 of 365 in D1. Trending down moderately 🔴.
Lipscomb
Record: 19-12 | Elo: 1561.0 (ranked 102 of 365) | Efficiency Margin: -4.81 (ranked 206 of 365)
Offensive Trends:
- Turnovers (Turnovers): Currently ranked 118 of 365 in D1. Trending down moderately 🟢.
- Off Reb Pct (Offensive Rebounding): Currently ranked 320 of 365 in D1. Trending down moderately 🔴.
Defensive Trends:
- Opp Shooting (Opp Shooting): Currently ranked 259 of 365 in D1. Trending up moderately 🔴.
- Opp Turnovers (Opp Turnovers): Currently ranked 104 of 365 in D1. Trending down weakly 🔴.
North Alabama
Record: 9-20 | Elo: 1412.8 (ranked 290 of 365) | Efficiency Margin: -25.70 (ranked 350 of 365)
Offensive Trends:
- Turnovers (Turnovers): Currently ranked 218 of 365 in D1. Trending up strongly 🔴.
- Shooting (Shooting): Currently ranked 315 of 365 in D1. Trending down moderately 🔴.
Defensive Trends:
- Opp Shooting (Opp Shooting): Currently ranked 336 of 365 in D1. Trending up moderately 🔴.
- Def Reb Pct (Defensive Rebounding): Currently ranked 246 of 365 in D1. Trending up moderately 🟢.
North Florida
Record: 7-24 | Elo: 1344.9 (ranked 342 of 365) | Efficiency Margin: -25.20 (ranked 349 of 365)
Offensive Trends:
- Shooting (Shooting): Currently ranked 112 of 365 in D1. Trending down strongly 🔴.
- Turnovers (Turnovers): Currently ranked 302 of 365 in D1. Trending up weakly 🔴.
Defensive Trends:
- Opp Shooting (Opp Shooting): Currently ranked 347 of 365 in D1. Trending down strongly 🟢.
- Opp Turnovers (Opp Turnovers): Currently ranked 357 of 365 in D1. Trending down weakly 🔴.
Queens University
Record: 18-13 | Elo: 1524.6 (ranked 149 of 365) | Efficiency Margin: -5.10 (ranked 210 of 365)
Offensive Trends:
- Shooting (Shooting): Currently ranked 18 of 365 in D1. Trending up moderately 🟢.
- Turnovers (Turnovers): Currently ranked 70 of 365 in D1. Trending down moderately 🟢.
Defensive Trends:
- Opp Shooting (Opp Shooting): Currently ranked 322 of 365 in D1. Trending down moderately 🟢.
- Opp Turnovers (Opp Turnovers): Currently ranked 299 of 365 in D1. Trending up moderately 🟢.
Stetson
Record: 11-20 | Elo: 1365.4 (ranked 330 of 365) | Efficiency Margin: -20.79 (ranked 329 of 365)
Offensive Trends:
- Shooting (Shooting): Currently ranked 124 of 365 in D1. Trending up strongly 🟢.
- Turnovers (Turnovers): Currently ranked 294 of 365 in D1. Trending down weakly 🟢.
Defensive Trends:
- Opp Shooting (Opp Shooting): Currently ranked 333 of 365 in D1. Trending down strongly 🟢.
- Opp Turnovers (Opp Turnovers): Currently ranked 289 of 365 in D1. Trending down weakly 🔴.
West Georgia
Record: 14-16 | Elo: 1398.8 (ranked 306 of 365) | Efficiency Margin: -17.10 (ranked 309 of 365)
Offensive Trends:
- Shooting (Shooting): Currently ranked 259 of 365 in D1. Trending up strongly 🟢.
- Off Reb Pct (Offensive Rebounding): Currently ranked 147 of 365 in D1. Trending down strongly 🔴.
Defensive Trends:
- Opp Shooting (Opp Shooting): Currently ranked 292 of 365 in D1. Trending down strongly 🟢.
- Opp Turnovers (Opp Turnovers): Currently ranked 311 of 365 in D1. Trending down moderately 🔴.

Figure 2: Offensive Four Factors comparison across Atlantic Sun teams. The radar chart shows each team’s shooting efficiency (eFG%), ball security (TOV%), offensive rebounding (OREB%), and free throw generation (FT Rate).

Figure 3: Defensive Four Factors comparison across Atlantic Sun teams. The radar chart shows each team’s opponent shooting defense (Opp eFG%), ball disruption (forcing TOV%), defensive rebounding (DREB%), and opponent free throw prevention (Opp FT Rate).

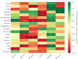
Figure 4: MACD trends heatmap showing which metrics are improving (green) or declining (red) for each team. Stronger colors indicate more pronounced trends.
Looking Ahead
Atlantic Sun Teams Show Signs of Improvement and Decline
As the Atlantic Sun season enters its final stretch, several teams are exhibiting notable trends in key metrics. In this week’s analysis, we’ll delve into the statistics that highlight areas of improvement and decline.
Jacksonville Sees Improvement
One trend worth noting is Jacksonville’s ability to force more turnovers from their opponents. The team has been doing a better job of pressuring their opponents into committing errors, which can be seen as an area of strength for the team.
Lipscomb Shows Defensive Resilience
On the defensive end, Lipscomb has demonstrated its ability to improve. Their opponents are scoring at a lower rate than they have all season, indicating that the team is doing something right on defense.
FGCU’s Struggles Continue
Meanwhile, FGCU continues to struggle with their shooting, as evidenced by their trends in key metrics. The team’s opponent’s field goal percentage is trending upward strongly, which can be seen as a problem for the team’s ability to defend.
North Florida and Stetson Showing Mixed Results
The remaining teams are showing mixed results in terms of trend direction.
Metrics Glossary
Four Factors (Dean Oliver’s framework for basketball success):
- eFG% (Effective Field Goal %): Field goal percentage adjusted for 3-pointers being worth more (FGM + 0.5×3PM) / FGA. Higher is better offensively, lower is better defensively.
- TOV% (Turnover Rate): Turnovers per 100 possessions. Lower is better offensively (taking care of the ball), higher is better defensively (forcing turnovers).
- OREB% / DREB% (Offensive/Defensive Rebound Rate): Percentage of available rebounds grabbed. Offensive rebounds create second-chance points; defensive rebounds end opponent possessions.
- FTR (Free Throw Rate): Free throws made per field goal attempt (FTM/FGA). Measures ability to get to the line AND convert. Higher is better offensively, lower is better defensively.
Other Metrics:
- Elo Rating: Chess-style rating system that updates based on game results and opponent strength. Higher Elo indicates stronger team.
- Efficiency Margin: Point differential per 100 possessions (Offensive Efficiency – Defensive Efficiency). Accounts for pace of play.
- MACD (Moving Average Convergence Divergence): Trend indicator comparing 12-game and 26-game exponential moving averages. Positive MACD = improving trend, Negative MACD = declining trend.
Analysis powered by HoopSci’s advanced metrics and MACD trending indicators.

