Big Ten Update: Week 17
March 2, 2026Strongest Offensive Trends
- Indiana, Off Reb Pct, Down, Trend Strength: -0.036 – Indiana’s struggles on defense are compounded by a lack of effectiveness in securing rebound opportunities, particularly those that occur following a missed shot, which has become a significant problem contributing to its defensive struggles.
- Maryland, Off Reb Pct, Up, Trend Strength: 0.017 – Maryland’s improvement in off-rebounding percentage indicates a notable advancement for the team as they navigate the competitive Big Ten conference, reflecting an upward trend in their performance this season.
- Iowa, Shooting, Down, Trend Strength: -0.013 – Iowa’s struggles to convert from beyond the arc are a problem that is causing concern for their offensive strategy, as they struggle to find consistency in close games.
- Maryland, Turnovers, Up, Trend Strength: 0.009 – Maryland’s turnover struggles are a significant problem, disrupting their offense and causing shooting difficulties, due to a substantial decline in possession control within their games.
- Illinois, Turnovers, Down, Trend Strength: -0.008 – Illinois’ turnover performance has been positively impacted, contributing to its ability to maintain possession on offense by reducing the number of turnovers that hinder its scoring efforts.
Strongest Defensive Trends
- Indiana, Opp Shooting, Up, Trend Strength: 0.027 – Opponents’ shooting struggles against Indiana present a concern for the team’s defensive strategy, as evidenced by poor Opp Shooting trend linked to the Hoosiers.
- Indiana, Def Reb Pct, Down, Trend Strength: -0.015 – Indiana’s struggles with defensive rebounding, specifically in securing rebounds on defense, have resulted in opposing teams maintaining possession and capitalizing on scoring chances at a higher rate than expected, impacting their overall performance.
- Illinois, Def Reb Pct, Down, Trend Strength: -0.015 – Illinois’ inability to effectively prevent opponents from securing defensive rebounds has become a significant problem, as it allows their adversaries to gain uncontested possession of the ball.
- Illinois, Opp Shooting, Up, Trend Strength: 0.014 – Illinois’ defensive performance continues to struggle as they allow opponents to score at a high rate, illustrating their difficulty in containing opposing offenses and presenting a major concern for the team’s overall performance.
- Indiana, Opp Turnovers, Down, Trend Strength: -0.011 – Indiana’s defense has struggled to capitalize on their own turnovers, consistently allowing opponents to exploit those mistakes and maintain possession after forcing turnovers themselves.

Figure 1: Efficiency margin trends for Big Ten teams throughout the season. Teams trending upward show improving performance, while downward trends indicate struggles.
Conference Snapshot
- Week Dates: February 23 – March 01, 2026
- Trending Up (Efficiency): Indiana, Michigan, Michigan State, Minnesota, Ohio State
- Trending Down (Efficiency): Illinois, Iowa, Maryland, Nebraska, Northwestern
Team-by-Team Analysis
Illinois
Record: 22-7 | Elo: 1707.2 (ranked 18 of 365) | Efficiency Margin: +33.10 (ranked 8 of 365)
Offensive Trends:
- Turnovers (Turnovers): Currently ranked 22 of 365 in D1. Trending down strongly 🟢.
- Off Reb Pct (Offensive Rebounding): Currently ranked 3 of 365 in D1. Trending up moderately 🟢.
Defensive Trends:
- Opp Shooting (Opp Shooting): Currently ranked 37 of 365 in D1. Trending up strongly 🔴.
- Def Reb Pct (Defensive Rebounding): Currently ranked 82 of 365 in D1. Trending down strongly 🔴.
Indiana
Record: 17-12 | Elo: 1599.0 (ranked 71 of 365) | Efficiency Margin: +19.02 (ranked 38 of 365)
Offensive Trends:
- Off Reb Pct (Offensive Rebounding): Currently ranked 306 of 365 in D1. Trending down strongly 🔴.
- Turnovers (Turnovers): Currently ranked 47 of 365 in D1. Trending down moderately 🟢.
Defensive Trends:
- Opp Shooting (Opp Shooting): Currently ranked 71 of 365 in D1. Trending up strongly 🔴.
- Opp Turnovers (Opp Turnovers): Currently ranked 298 of 365 in D1. Trending down strongly 🔴.
Iowa
Record: 20-9 | Elo: 1622.1 (ranked 58 of 365) | Efficiency Margin: +26.76 (ranked 20 of 365)
Offensive Trends:
- Shooting (Shooting): Currently ranked 18 of 365 in D1. Trending down strongly 🔴.
- Turnovers (Turnovers): Currently ranked 48 of 365 in D1. Trending down moderately 🟢.
Defensive Trends:
- Opp Shooting (Opp Shooting): Currently ranked 210 of 365 in D1. Trending up strongly 🔴.
- Def Reb Pct (Defensive Rebounding): Currently ranked 95 of 365 in D1. Trending up strongly 🟢.
Maryland
Record: 11-18 | Elo: 1540.8 (ranked 129 of 365) | Efficiency Margin: +0.99 (ranked 153 of 365)
Offensive Trends:
- Turnovers (Turnovers): Currently ranked 290 of 365 in D1. Trending up strongly 🔴.
- Off Reb Pct (Offensive Rebounding): Currently ranked 81 of 365 in D1. Trending up strongly 🟢.
Defensive Trends:
- Opp Turnovers (Opp Turnovers): Currently ranked 282 of 365 in D1. Trending down strongly 🔴.
- Def Reb Pct (Defensive Rebounding): Currently ranked 117 of 365 in D1. Trending up strongly 🟢.
Michigan
Record: 27-2 | Elo: 1793.5 (ranked 5 of 365) | Efficiency Margin: +42.35 (ranked 2 of 365)
Offensive Trends:
- Shooting (Shooting): Currently ranked 9 of 365 in D1. Trending up moderately 🟢.
- Off Reb Pct (Offensive Rebounding): Currently ranked 15 of 365 in D1. Trending up moderately 🟢.
Defensive Trends:
- Opp Shooting (Opp Shooting): Currently ranked 3 of 365 in D1. Trending up strongly 🔴.
- Opp Turnovers (Opp Turnovers): Currently ranked 210 of 365 in D1. Trending down moderately 🔴.
Michigan State
Record: 24-5 | Elo: 1763.3 (ranked 10 of 365) | Efficiency Margin: +30.36 (ranked 13 of 365)
Offensive Trends:
- Turnovers (Turnovers): Currently ranked 203 of 365 in D1. Trending down strongly 🟢.
- Shooting (Shooting): Currently ranked 88 of 365 in D1. Trending up moderately 🟢.
Defensive Trends:
- Opp Shooting (Opp Shooting): Currently ranked 27 of 365 in D1. Trending up strongly 🔴.
- Opp Turnovers (Opp Turnovers): Currently ranked 304 of 365 in D1. Trending down strongly 🔴.
Minnesota
Record: 14-15 | Elo: 1521.2 (ranked 157 of 365) | Efficiency Margin: +14.67 (ranked 58 of 365)
Offensive Trends:
- Shooting (Shooting): Currently ranked 60 of 365 in D1. Trending up strongly 🟢.
- Turnovers (Turnovers): Currently ranked 144 of 365 in D1. Trending down strongly 🟢.
Defensive Trends:
- Opp Shooting (Opp Shooting): Currently ranked 166 of 365 in D1. Trending up strongly 🔴.
- Opp Turnovers (Opp Turnovers): Currently ranked 174 of 365 in D1. Trending down weakly 🔴.
Nebraska
Record: 25-4 | Elo: 1701.5 (ranked 21 of 365) | Efficiency Margin: +30.33 (ranked 14 of 365)
Offensive Trends:
- Turnovers (Turnovers): Currently ranked 31 of 365 in D1. Trending up moderately 🔴.
- Off Reb Pct (Offensive Rebounding): Currently ranked 275 of 365 in D1. Trending up moderately 🟢.
Defensive Trends:
- Opp Turnovers (Opp Turnovers): Currently ranked 52 of 365 in D1. Trending up moderately 🟢.
- Def Reb Pct (Defensive Rebounding): Currently ranked 44 of 365 in D1. Trending up moderately 🟢.
Northwestern
Record: 13-16 | Elo: 1532.1 (ranked 142 of 365) | Efficiency Margin: +11.84 (ranked 73 of 365)
Offensive Trends:
- Turnovers (Turnovers): Currently ranked 5 of 365 in D1. Trending up strongly 🔴.
- Off Reb Pct (Offensive Rebounding): Currently ranked 281 of 365 in D1. Trending down moderately 🔴.
Defensive Trends:
- Opp Turnovers (Opp Turnovers): Currently ranked 185 of 365 in D1. Trending up moderately 🟢.
- Def Reb Pct (Defensive Rebounding): Currently ranked 330 of 365 in D1. Trending down moderately 🔴.
Ohio State
Record: 18-11 | Elo: 1611.8 (ranked 66 of 365) | Efficiency Margin: +20.89 (ranked 36 of 365)
Offensive Trends:
- Off Reb Pct (Offensive Rebounding): Currently ranked 186 of 365 in D1. Trending down strongly 🔴.
- Shooting (Shooting): Currently ranked 31 of 365 in D1. Trending up weakly 🟢.
Defensive Trends:
- Opp Shooting (Opp Shooting): Currently ranked 98 of 365 in D1. Trending up moderately 🔴.
- Opp Turnovers (Opp Turnovers): Currently ranked 252 of 365 in D1. Trending down moderately 🔴.
Oregon
Record: 11-18 | Elo: 1548.8 (ranked 119 of 365) | Efficiency Margin: +5.55 (ranked 109 of 365)
Offensive Trends:
- Off Reb Pct (Offensive Rebounding): Currently ranked 90 of 365 in D1. Trending down moderately 🔴.
- Shooting (Shooting): Currently ranked 265 of 365 in D1. Trending down weakly 🔴.
Defensive Trends:
- Def Reb Pct (Defensive Rebounding): Currently ranked 274 of 365 in D1. Trending down strongly 🔴.
- Opp Shooting (Opp Shooting): Currently ranked 171 of 365 in D1. Trending down moderately 🟢.
Penn State
Record: 12-17 | Elo: 1489.2 (ranked 199 of 365) | Efficiency Margin: +1.74 (ranked 141 of 365)
Offensive Trends:
- Shooting (Shooting): Currently ranked 78 of 365 in D1. Trending up strongly 🟢.
- Turnovers (Turnovers): Currently ranked 99 of 365 in D1. Trending up strongly 🔴.
Defensive Trends:
- Opp Shooting (Opp Shooting): Currently ranked 363 of 365 in D1. Trending up moderately 🔴.
- Def Reb Pct (Defensive Rebounding): Currently ranked 280 of 365 in D1. Trending down moderately 🔴.
Purdue
Record: 22-7 | Elo: 1727.7 (ranked 14 of 365) | Efficiency Margin: +33.12 (ranked 7 of 365)
Offensive Trends:
- Turnovers (Turnovers): Currently ranked 19 of 365 in D1. Trending down strongly 🟢.
- Off Reb Pct (Offensive Rebounding): Currently ranked 37 of 365 in D1. Trending down strongly 🔴.
Defensive Trends:
- Opp Shooting (Opp Shooting): Currently ranked 199 of 365 in D1. Trending up strongly 🔴.
- Opp Turnovers (Opp Turnovers): Currently ranked 201 of 365 in D1. Trending down moderately 🔴.
Rutgers
Record: 12-17 | Elo: 1500.6 (ranked 188 of 365) | Efficiency Margin: +3.05 (ranked 129 of 365)
Offensive Trends:
- Turnovers (Turnovers): Currently ranked 96 of 365 in D1. Trending down strongly 🟢.
- Off Reb Pct (Offensive Rebounding): Currently ranked 145 of 365 in D1. Trending down strongly 🔴.
Defensive Trends:
- Opp Shooting (Opp Shooting): Currently ranked 271 of 365 in D1. Trending up moderately 🔴.
- Opp Turnovers (Opp Turnovers): Currently ranked 181 of 365 in D1. Trending up moderately 🟢.
UCLA
Record: 19-10 | Elo: 1641.5 (ranked 47 of 365) | Efficiency Margin: +18.10 (ranked 41 of 365)
Offensive Trends:
- Turnovers (Turnovers): Currently ranked 12 of 365 in D1. Trending down strongly 🟢.
- Off Reb Pct (Offensive Rebounding): Currently ranked 157 of 365 in D1. Trending down moderately 🔴.
Defensive Trends:
- Opp Shooting (Opp Shooting): Currently ranked 144 of 365 in D1. Trending up strongly 🔴.
- Opp Turnovers (Opp Turnovers): Currently ranked 97 of 365 in D1. Trending down strongly 🔴.
USC
Record: 18-11 | Elo: 1570.7 (ranked 94 of 365) | Efficiency Margin: +11.96 (ranked 72 of 365)
Offensive Trends:
- Shooting (Shooting): Currently ranked 209 of 365 in D1. Trending down strongly 🔴.
- Turnovers (Turnovers): Currently ranked 264 of 365 in D1. Trending up weakly 🔴.
Defensive Trends:
- Def Reb Pct (Defensive Rebounding): Currently ranked 211 of 365 in D1. Trending down strongly 🔴.
- Opp Shooting (Opp Shooting): Currently ranked 79 of 365 in D1. Trending up moderately 🔴.
Washington
Record: 14-15 | Elo: 1512.2 (ranked 175 of 365) | Efficiency Margin: +14.83 (ranked 55 of 365)
Offensive Trends:
- Shooting (Shooting): Currently ranked 175 of 365 in D1. Trending up moderately 🟢.
- Off Reb Pct (Offensive Rebounding): Currently ranked 86 of 365 in D1. Trending down moderately 🔴.
Defensive Trends:
- Opp Turnovers (Opp Turnovers): Currently ranked 326 of 365 in D1. Trending down strongly 🔴.
- Opp Shooting (Opp Shooting): Currently ranked 95 of 365 in D1. Trending down weakly 🟢.
Wisconsin
Record: 20-9 | Elo: 1679.2 (ranked 32 of 365) | Efficiency Margin: +20.29 (ranked 37 of 365)
Offensive Trends:
- Turnovers (Turnovers): Currently ranked 9 of 365 in D1. Trending down moderately 🟢.
- Shooting (Shooting): Currently ranked 71 of 365 in D1. Trending up weakly 🟢.
Defensive Trends:
- Opp Shooting (Opp Shooting): Currently ranked 180 of 365 in D1. Trending up strongly 🔴.
- Def Reb Pct (Defensive Rebounding): Currently ranked 46 of 365 in D1. Trending down moderately 🔴.

Figure 2: Offensive Four Factors comparison across Big Ten teams. The radar chart shows each team’s shooting efficiency (eFG%), ball security (TOV%), offensive rebounding (OREB%), and free throw generation (FT Rate).

Figure 3: Defensive Four Factors comparison across Big Ten teams. The radar chart shows each team’s opponent shooting defense (Opp eFG%), ball disruption (forcing TOV%), defensive rebounding (DREB%), and opponent free throw prevention (Opp FT Rate).

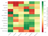
Figure 4: MACD trends heatmap showing which metrics are improving (green) or declining (red) for each team. Stronger colors indicate more pronounced trends.
Looking Ahead
Big Ten Wrap-Up: Trends to Watch
As the Big Ten season nears its conclusion, several teams are demonstrating notable trends in key areas. This analysis highlights the most significant developments, focusing on both offense and defense.
Offensive Trends
On the offensive side, two teams stand out:
- Illinois: The Fighting Illini have seen a decrease in turnovers (Season Avg: 0.13, Trend: Down), indicating an improvement in ball control and decision-making.
- Indiana: Conversely, Indiana’s offense has struggled with a decline in off-rebound percentage (Season Avg: 0.243, Trend: Down). This trend suggests that the Hoosiers are allowing opponents to secure more defensive rebounds.
Defensive Trends
In terms of defense, two teams again take center stage:
- Illinois: The Illini’s opponents have seen an increase in shooting percentage (Season Avg: 0.48, Trend: Up), which is a negative trend for the team.
- Indiana: Similar to Illinois, Indiana’s opponents are also shooting more effectively (Season Avg: 0.49, Trend: Up). Furthermore, the Hoosiers’ defense has struggled with allowing fewer turnovers (Season Avg: 0.14, Trend: Down), indicating that their opponents are capitalizing on these situations.
Conclusion
These trends provide insight into the current state of each team. Illinois is showing improvement in ball control but struggling defensively, while Indiana’s offense has declined and its defense is also underperforming. As the season progresses, these trends will continue to evolve, potentially impacting the teams’ overall performance.
Metrics Glossary
Four Factors (Dean Oliver’s framework for basketball success):
- eFG% (Effective Field Goal %): Field goal percentage adjusted for 3-pointers being worth more (FGM + 0.5×3PM) / FGA. Higher is better offensively, lower is better defensively.
- TOV% (Turnover Rate): Turnovers per 100 possessions. Lower is better offensively (taking care of the ball), higher is better defensively (forcing turnovers).
- OREB% / DREB% (Offensive/Defensive Rebound Rate): Percentage of available rebounds grabbed. Offensive rebounds create second-chance points; defensive rebounds end opponent possessions.
- FTR (Free Throw Rate): Free throws made per field goal attempt (FTM/FGA). Measures ability to get to the line AND convert. Higher is better offensively, lower is better defensively.
Other Metrics:
- Elo Rating: Chess-style rating system that updates based on game results and opponent strength. Higher Elo indicates stronger team.
- Efficiency Margin: Point differential per 100 possessions (Offensive Efficiency – Defensive Efficiency). Accounts for pace of play.
- MACD (Moving Average Convergence Divergence): Trend indicator comparing 12-game and 26-game exponential moving averages. Positive MACD = improving trend, Negative MACD = declining trend.
Analysis powered by HoopSci’s advanced metrics and MACD trending indicators.

