West Coast Update: Week 13
February 2, 2026The West Coast enters Week 13 with teams showing diverse trending patterns. This analysis examines each team’s performance trends using MACD (Moving Average Convergence Divergence) indicators to identify not just where teams stand, but where they’re headed.

Figure 1: Efficiency margin trends for West Coast teams throughout the season. Teams trending upward show improving performance, while downward trends indicate struggles.
Conference Snapshot
- Week Dates: January 26 – February 01, 2026
- Trending Up (Efficiency): Pacific, San Diego, San Francisco, Santa Clara, Washington St
- Trending Down (Efficiency): Gonzaga, Loyola Mary, Pepperdine, Portland, Saint Mary’s
Team-by-Team Analysis
Gonzaga
Record: 22-1 | Elo: 1776.9 (ranked 5 of 365) | Efficiency Margin: +34.76 (ranked 7 of 365)
Offensive Trends:
- Shooting (Shooting): Currently ranked 21 of 365 in D1. Trending down strongly 🔴.
- Turnovers (Turnovers): Currently ranked 45 of 365 in D1. Trending up weakly 🔴.
Defensive Trends:
- Opp Shooting (Opp Shooting): Currently ranked 10 of 365 in D1. Trending down moderately 🟢.
- Opp Turnovers (Opp Turnovers): Currently ranked 24 of 365 in D1. Trending up moderately 🟢.
Loyola Mary
Record: 11-13 | Elo: 1453.7 (ranked 248 of 365) | Efficiency Margin: -3.21 (ranked 191 of 365)
Offensive Trends:
- Shooting (Shooting): Currently ranked 184 of 365 in D1. Trending down strongly 🔴.
- Turnovers (Turnovers): Currently ranked 271 of 365 in D1. Trending up strongly 🔴.
Defensive Trends:
- Opp Shooting (Opp Shooting): Currently ranked 58 of 365 in D1. Trending up strongly 🔴.
- Opp Turnovers (Opp Turnovers): Currently ranked 166 of 365 in D1. Trending down weakly 🔴.
Oregon State
Record: 12-12 | Elo: 1498.0 (ranked 187 of 365) | Efficiency Margin: -7.47 (ranked 224 of 365)
Offensive Trends:
- Shooting (Shooting): Currently ranked 237 of 365 in D1. Trending down strongly 🔴.
- Off Reb Pct (Offensive Rebounding): Currently ranked 327 of 365 in D1. Trending down moderately 🔴.
Defensive Trends:
- Opp Shooting (Opp Shooting): Currently ranked 137 of 365 in D1. Trending up weakly 🔴.
- Opp Turnovers (Opp Turnovers): Currently ranked 260 of 365 in D1. Trending up weakly 🟢.
Pacific
Record: 15-9 | Elo: 1440.8 (ranked 261 of 365) | Efficiency Margin: +4.93 (ranked 117 of 365)
Offensive Trends:
- Shooting (Shooting): Currently ranked 83 of 365 in D1. Trending up moderately 🟢.
- Turnovers (Turnovers): Currently ranked 336 of 365 in D1. Trending down moderately 🟢.
Defensive Trends:
- Opp Shooting (Opp Shooting): Currently ranked 95 of 365 in D1. Trending down moderately 🟢.
- Opp Turnovers (Opp Turnovers): Currently ranked 241 of 365 in D1. Trending up moderately 🟢.
Pepperdine
Record: 6-17 | Elo: 1350.3 (ranked 347 of 365) | Efficiency Margin: -13.92 (ranked 282 of 365)
Offensive Trends:
- Off Reb Pct (Offensive Rebounding): Currently ranked 298 of 365 in D1. Trending down strongly 🔴.
- Turnovers (Turnovers): Currently ranked 295 of 365 in D1. Trending up moderately 🔴.
Defensive Trends:
- Def Reb Pct (Defensive Rebounding): Currently ranked 329 of 365 in D1. Trending down strongly 🔴.
- Opp Shooting (Opp Shooting): Currently ranked 262 of 365 in D1. Trending up moderately 🔴.
Portland
Record: 10-14 | Elo: 1412.1 (ranked 292 of 365) | Efficiency Margin: -9.53 (ranked 243 of 365)
Offensive Trends:
- Shooting (Shooting): Currently ranked 209 of 365 in D1. Trending down strongly 🔴.
- Turnovers (Turnovers): Currently ranked 319 of 365 in D1. Trending down moderately 🟢.
Defensive Trends:
- Opp Shooting (Opp Shooting): Currently ranked 257 of 365 in D1. Trending up moderately 🔴.
- Opp Turnovers (Opp Turnovers): Currently ranked 137 of 365 in D1. Trending up weakly 🟢.
Saint Mary’s
Record: 19-4 | Elo: 1727.8 (ranked 12 of 365) | Efficiency Margin: +21.88 (ranked 31 of 365)
Offensive Trends:
- Off Reb Pct (Offensive Rebounding): Currently ranked 30 of 365 in D1. Trending down strongly 🔴.
- Shooting (Shooting): Currently ranked 132 of 365 in D1. Trending down moderately 🔴.
Defensive Trends:
- Opp Shooting (Opp Shooting): Currently ranked 25 of 365 in D1. Trending up weakly 🔴.
- Opp Turnovers (Opp Turnovers): Currently ranked 298 of 365 in D1. Trending down weakly 🔴.
San Diego
Record: 10-14 | Elo: 1376.2 (ranked 327 of 365) | Efficiency Margin: -10.69 (ranked 257 of 365)
Offensive Trends:
- Off Reb Pct (Offensive Rebounding): Currently ranked 247 of 365 in D1. Trending up strongly 🟢.
- Shooting (Shooting): Currently ranked 199 of 365 in D1. Trending up moderately 🟢.
Defensive Trends:
- Def Reb Pct (Defensive Rebounding): Currently ranked 355 of 365 in D1. Trending up strongly 🟢.
- Opp Shooting (Opp Shooting): Currently ranked 288 of 365 in D1. Trending down weakly 🟢.
San Francisco
Record: 14-10 | Elo: 1589.0 (ranked 75 of 365) | Efficiency Margin: +6.32 (ranked 108 of 365)
Offensive Trends:
- Shooting (Shooting): Currently ranked 135 of 365 in D1. Trending up moderately 🟢.
- Turnovers (Turnovers): Currently ranked 165 of 365 in D1. Trending up weakly 🔴.
Defensive Trends:
- Opp Shooting (Opp Shooting): Currently ranked 88 of 365 in D1. Trending up strongly 🔴.
- Opp Turnovers (Opp Turnovers): Currently ranked 343 of 365 in D1. Trending down moderately 🔴.
Santa Clara
Record: 19-5 | Elo: 1642.4 (ranked 45 of 365) | Efficiency Margin: +15.64 (ranked 49 of 365)
Offensive Trends:
- Shooting (Shooting): Currently ranked 51 of 365 in D1. Trending up moderately 🟢.
- Turnovers (Turnovers): Currently ranked 164 of 365 in D1. Trending down weakly 🟢.
Defensive Trends:
- Opp Turnovers (Opp Turnovers): Currently ranked 12 of 365 in D1. Trending up strongly 🟢.
- Def Reb Pct (Defensive Rebounding): Currently ranked 247 of 365 in D1. Trending down moderately 🔴.
Seattle
Record: 14-9 | Elo: 1519.5 (ranked 157 of 365) | Efficiency Margin: +3.66 (ranked 129 of 365)
Offensive Trends:
- Shooting (Shooting): Currently ranked 218 of 365 in D1. Trending down strongly 🔴.
- Off Reb Pct (Offensive Rebounding): Currently ranked 337 of 365 in D1. Trending down strongly 🔴.
Defensive Trends:
- Opp Shooting (Opp Shooting): Currently ranked 67 of 365 in D1. Trending up strongly 🔴.
- Opp Turnovers (Opp Turnovers): Currently ranked 8 of 365 in D1. Trending up strongly 🟢.
Washington St
Record: 10-13 | Elo: 1509.6 (ranked 170 of 365) | Efficiency Margin: +0.82 (ranked 154 of 365)
Offensive Trends:
- Shooting (Shooting): Currently ranked 47 of 365 in D1. Trending up strongly 🟢.
- Off Reb Pct (Offensive Rebounding): Currently ranked 201 of 365 in D1. Trending up moderately 🟢.
Defensive Trends:
- Opp Shooting (Opp Shooting): Currently ranked 265 of 365 in D1. Trending down weakly 🟢.
- Opp Turnovers (Opp Turnovers): Currently ranked 305 of 365 in D1. Trending down weakly 🔴.

Figure 2: Offensive Four Factors comparison across West Coast teams. The radar chart shows each team’s shooting efficiency (eFG%), ball security (TOV%), offensive rebounding (OREB%), and free throw generation (FT Rate).

Figure 3: Defensive Four Factors comparison across West Coast teams. The radar chart shows each team’s opponent shooting defense (Opp eFG%), ball disruption (forcing TOV%), defensive rebounding (DREB%), and opponent free throw prevention (Opp FT Rate).

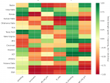
Figure 4: MACD trends heatmap showing which metrics are improving (green) or declining (red) for each team. Stronger colors indicate more pronounced trends.
Looking Ahead
As West Coast teams continue their season, the MACD trending indicators will help identify which teams are genuinely improving versus those riding unsustainable momentum. Check back next week for updated analysis.
Metrics Glossary
Four Factors (Dean Oliver’s framework for basketball success):
- eFG% (Effective Field Goal %): Field goal percentage adjusted for 3-pointers being worth more (FGM + 0.5×3PM) / FGA. Higher is better offensively, lower is better defensively.
- TOV% (Turnover Rate): Turnovers per 100 possessions. Lower is better offensively (taking care of the ball), higher is better defensively (forcing turnovers).
- OREB% / DREB% (Offensive/Defensive Rebound Rate): Percentage of available rebounds grabbed. Offensive rebounds create second-chance points; defensive rebounds end opponent possessions.
- FTR (Free Throw Rate): Free throws made per field goal attempt (FTM/FGA). Measures ability to get to the line AND convert. Higher is better offensively, lower is better defensively.
Other Metrics:
- Elo Rating: Chess-style rating system that updates based on game results and opponent strength. Higher Elo indicates stronger team.
- Efficiency Margin: Point differential per 100 possessions (Offensive Efficiency – Defensive Efficiency). Accounts for pace of play.
- MACD (Moving Average Convergence Divergence): Trend indicator comparing 12-game and 26-game exponential moving averages. Positive MACD = improving trend, Negative MACD = declining trend.
Analysis powered by HoopSci’s advanced metrics and MACD trending indicators.

